求不定积分∫xdx/(x+1)(x+2)(x+3),麻烦写一下详细过程
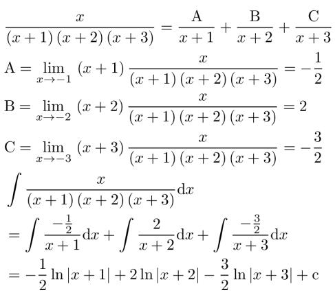
具体回答如图:

一个函数,可以存在不定积分,而不存在定积分,也可以存在定积分,而没有不定积分。连续函数,一定存在定积分和不定积分。
若在有限区间[a,b]上只有有限个间断点且函数有界,则定积分存在;若有跳跃、可去、无穷间断点,则原函数一定不存在,即不定积分一定不存在。
扩展资料:
若定积分存在,则它是一个具体的数值(曲边梯形的面积),而不定积分是一个函数表达式,它们仅仅在数学上有一个计算关系(牛顿-莱布尼茨公式),其它一点关系都没有!
不定积分的积分公式主要有如下几类:含ax+b的积分、含√(a+bx)的积分、含有x^2±α^2的积分、含有ax^2+b(a>0)的积分、含有√(a²+x^2) (a>0)的积分、含有√(a^2-x^2) (a>0)的积分、含有√(|a|x^2+bx+c) (a≠0)的积分、含有三角函数的积分、含有反三角函数的积分、含有指数函数的积分、含有对数函数的积分、含有双曲函数的积分。
如果一个函数f在某个区间上黎曼可积,并且在此区间上大于等于零。那么它在这个区间上的积分也大于等于零。
如果f勒贝格可积并且几乎总是大于等于零,那么它的勒贝格积分也大于等于零。作为推论,可积函数f和g相比,f(几乎)总是小于等于g,那么f的(勒贝格)积分也小于等于g的(勒贝格)积分。
参考资料来源:百度百科——不定积分
声明:本网站引用、摘录或转载内容仅供网站访问者交流或参考,不代表本站立场,如存在版权或非法内容,请联系站长删除,联系邮箱:site.kefu@qq.com。
阅读量:88
阅读量:168
阅读量:167
阅读量:121
阅读量:35