指南生活
首页
美食营养
手工爱好
生活家居
返回
指南生活
首页
美食营养
游戏数码
手工爱好
生活家居
健康养生
运动户外
职场理财
情感交际
母婴教育
时尚美容
知识问答
生活知识
搜索
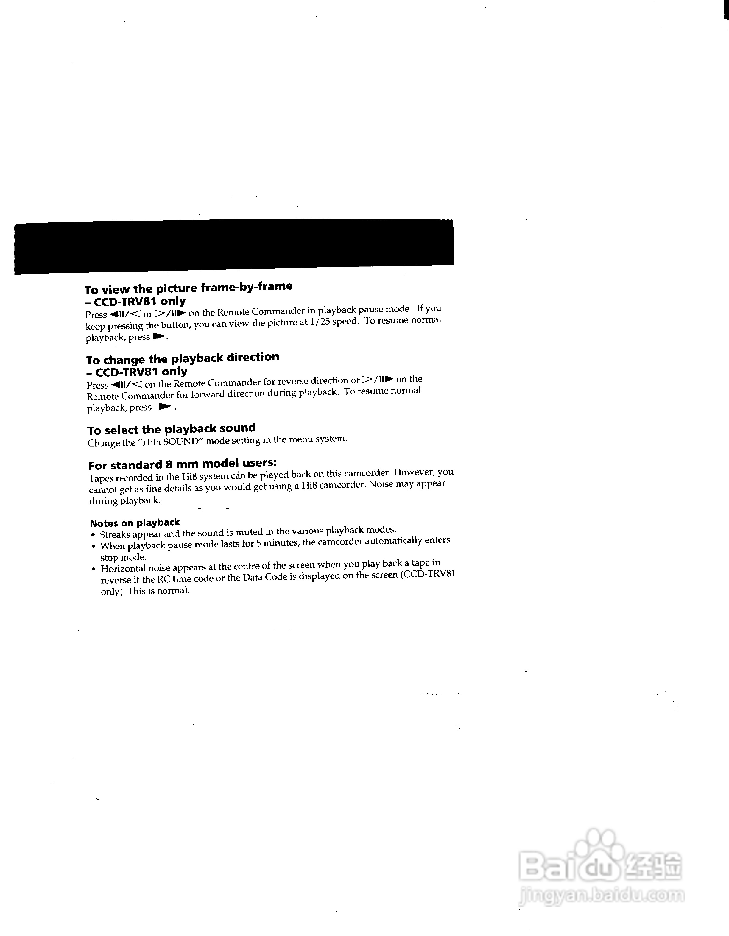
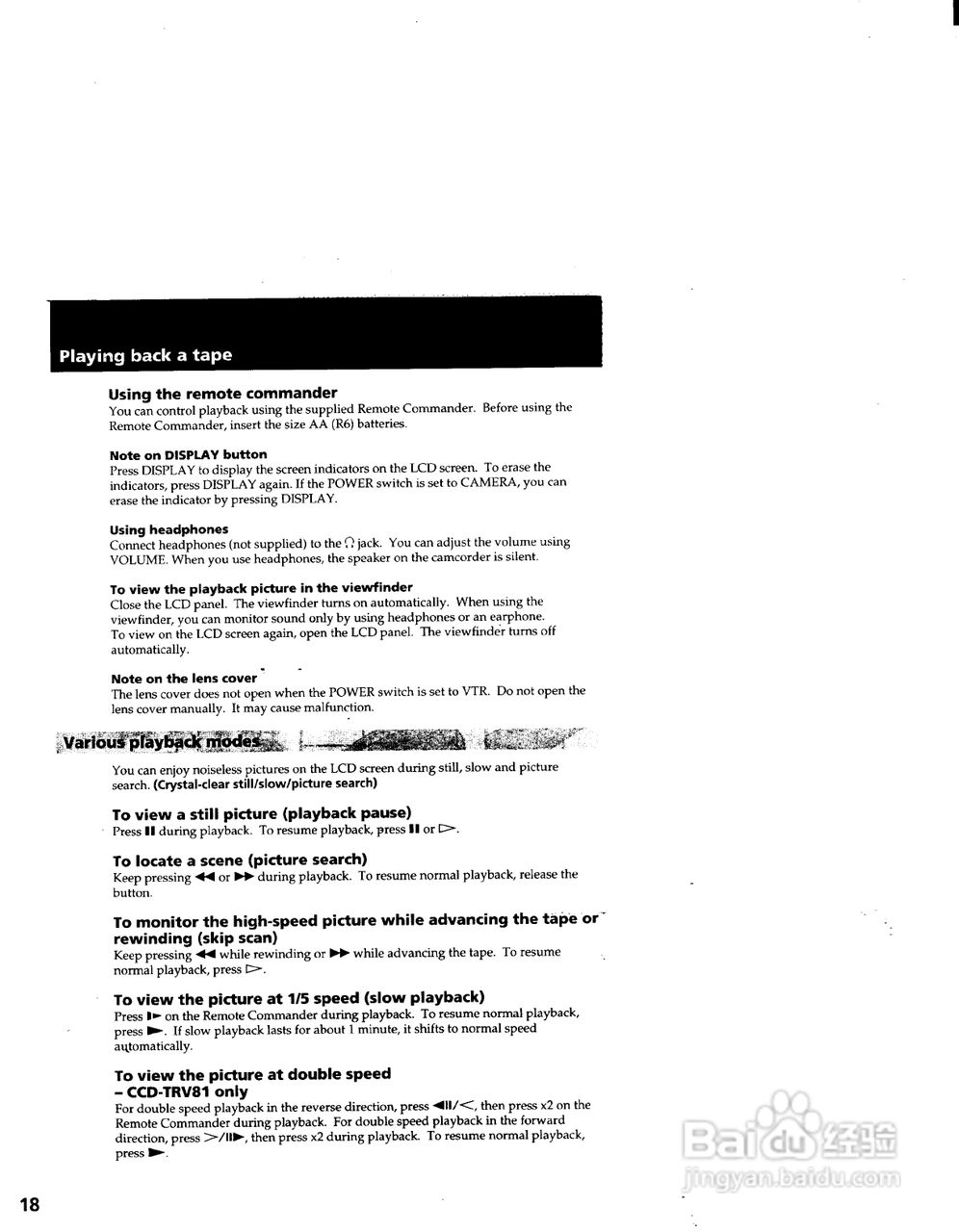
索尼CCD-TRV41模拟摄像机说明书:[2]
2025-12-08 22:53:30
本篇为《索尼CCD-TRV41模拟摄像机说明书》,主要介绍该产品的使用方法以及常见故障解决方案。
(共篇)
上一篇:
|
下一篇:
声明:
本网站引用、摘录或转载内容仅供网站访问者交流或参考,不代表本站立场,如存在版权或非法内容,请联系站长删除,联系邮箱:site.kefu@qq.com。
相关推荐
索尼CCD-TRV41模拟摄像机说明书:[4]
阅读量:162
索尼CCD-TRV15模拟摄像机说明书:[2]
阅读量:196
索尼CCD-TRV25模拟摄像机说明书:[2]
阅读量:55
模拟摄像机和网络监控摄像机画面嵌入网页直播
阅读量:112
索尼CCD-TRV41模拟摄像机说明书:[5]
阅读量:102
猜你喜欢
电磁炉什么牌子好
2月14日是什么节日
热桥是什么意思
眼睛流泪是什么原因
april什么意思
8月25日是什么日子
缱绻什么意思
烤羊肉串的腌制方法
feeling是什么意思
主机声音大是什么原因
猜你喜欢
handsome什么意思
乔丹运动鞋
sns是什么
翻新机是什么
运动会广播稿
kia是什么车
罗志祥多人运动视频
gy是什么意思
口腔溃疡维生素
大蒜的腌制方法