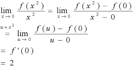
用拉格朗日中值定理做这个极限,谢谢。
用拉格朗日中值定理做极限:

在使用任何数学定理/定律去解问题时,都必须先要考察判定所要求解的对象是否符合定律/定律适用的条件。例如,用拉氏中值定理时就必须先考察所求对象的在所定义的区间内是否连续(没有间断点)和是否有界(可以形成闭区间)
运动学意义
对于曲线运动在任意一个运动过程中至少存在一个位置(或一个时刻)的瞬时速率等于这个过程中的平均速率。
拉格朗日中值定理在柯西的微积分理论系统中占有重要的地位。可利用拉格朗日中值定理对洛必达法则进行严格的证明,并研究泰勒公式的余项。从柯西起,微分中值定理就成为研究函数的重要工具和微分学的重要组成部分。
声明:本网站引用、摘录或转载内容仅供网站访问者交流或参考,不代表本站立场,如存在版权或非法内容,请联系站长删除,联系邮箱:site.kefu@qq.com。
阅读量:30
阅读量:112
阅读量:160
阅读量:101
阅读量:157