指南生活
首页
美食营养
手工爱好
生活家居
返回
指南生活
首页
美食营养
游戏数码
手工爱好
生活家居
健康养生
运动户外
职场理财
情感交际
母婴教育
时尚美容
知识问答
生活知识
搜索
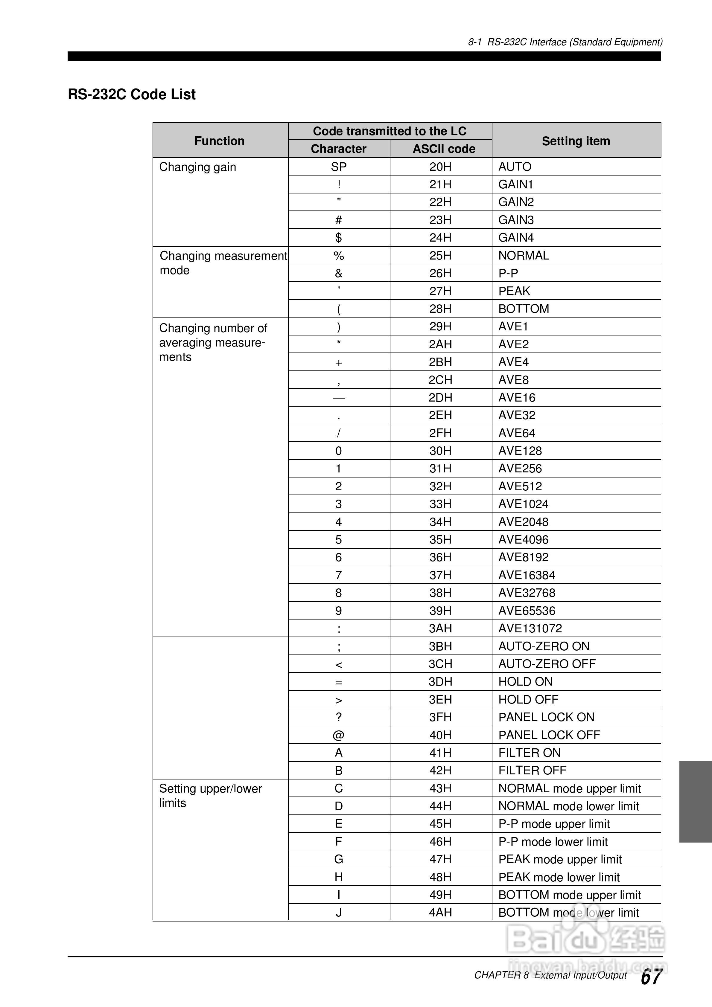
基恩士LC 系列類比感測器控制器说明书:[8]
2026-01-08 11:14:15
本篇为《基恩士LC 系列類比感測器控制器说明书》,主要介绍该产品的使用方法以及常见故障解决方案。
(共篇)
上一篇:
|
下一篇:
声明:
本网站引用、摘录或转载内容仅供网站访问者交流或参考,不代表本站立场,如存在版权或非法内容,请联系站长删除,联系邮箱:site.kefu@qq.com。
相关推荐
基恩士LC 系列類比感測器控制器说明书:[9]
阅读量:112
基恩士LC 系列類比感測器控制器说明书:[5]
阅读量:47
基恩士KV系列PLC以太网通讯升级
阅读量:133
控制器暂停功能的实现步骤
阅读量:85
基恩士LC 系列類比感測器控制器说明书:[4]
阅读量:84
猜你喜欢
长方体怎么画
张云雷事件是怎么回事
怎么瘦大腿
韩熙贞化妆品怎么样
爱要怎么说出口歌词
旻怎么读
word怎么做表格
汤圆怎么做好吃
美图秀秀怎么抠图
扁桃体肥大怎么治
猜你喜欢
虎皮兰怎么养
白菜肉馅饺子的做法
supreme怎么读
弗怎么读
女人为什么喜欢男人
杨桃怎么吃
未受信任的企业级开发者怎么解决
小米手环怎么连接手机
男人秃顶为什么
说明书怎么写