指南生活
首页
美食营养
手工爱好
生活家居
返回
指南生活
首页
美食营养
游戏数码
手工爱好
生活家居
健康养生
运动户外
职场理财
情感交际
母婴教育
时尚美容
知识问答
生活知识
搜索
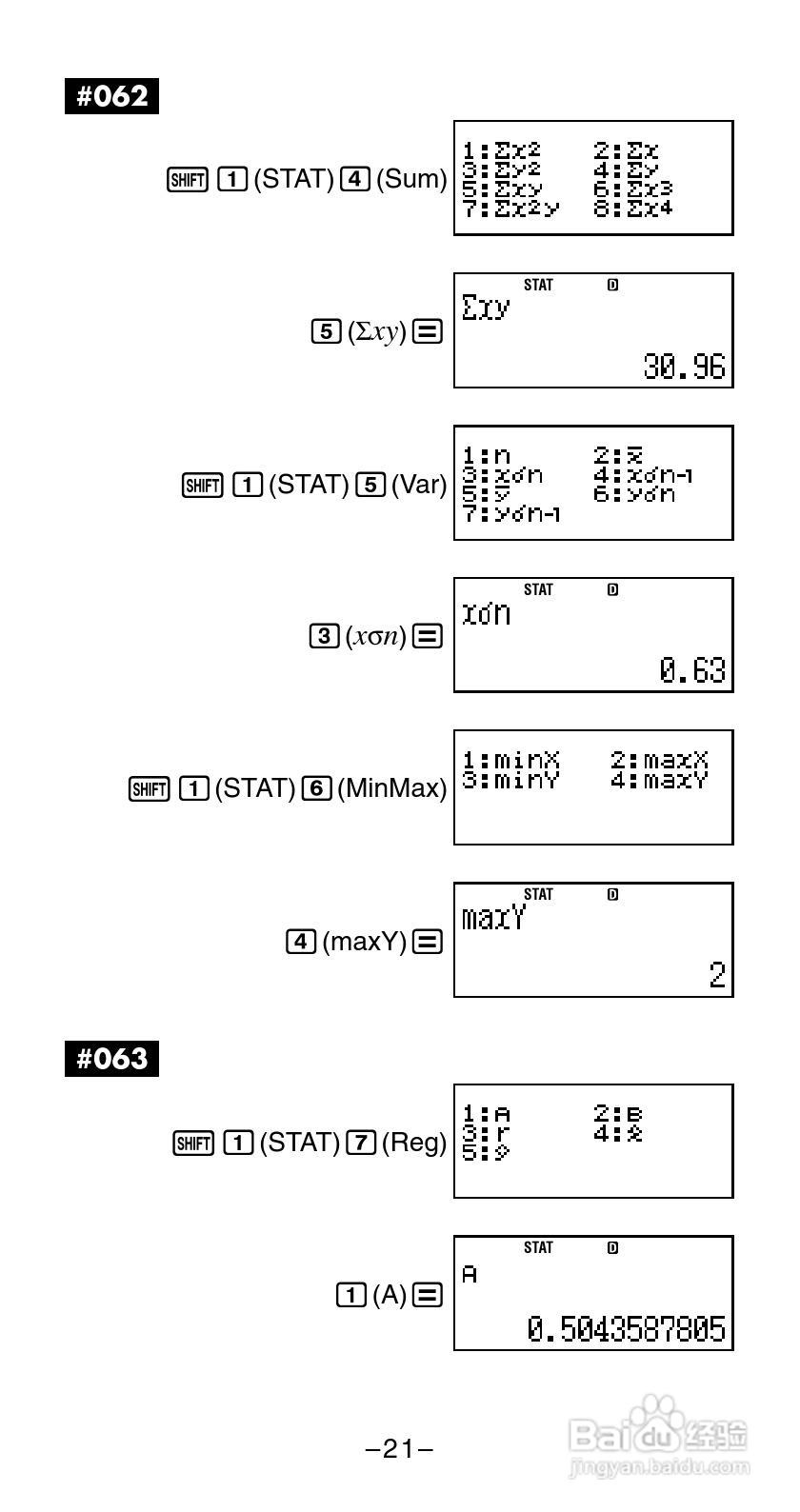
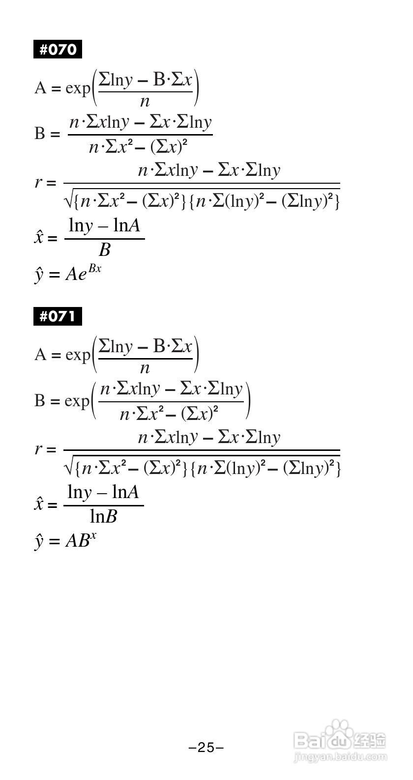
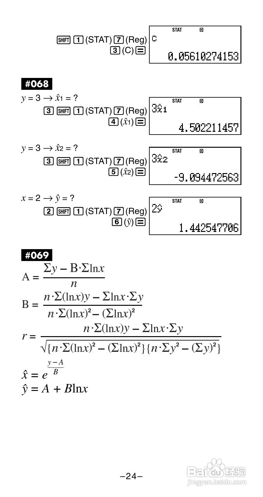
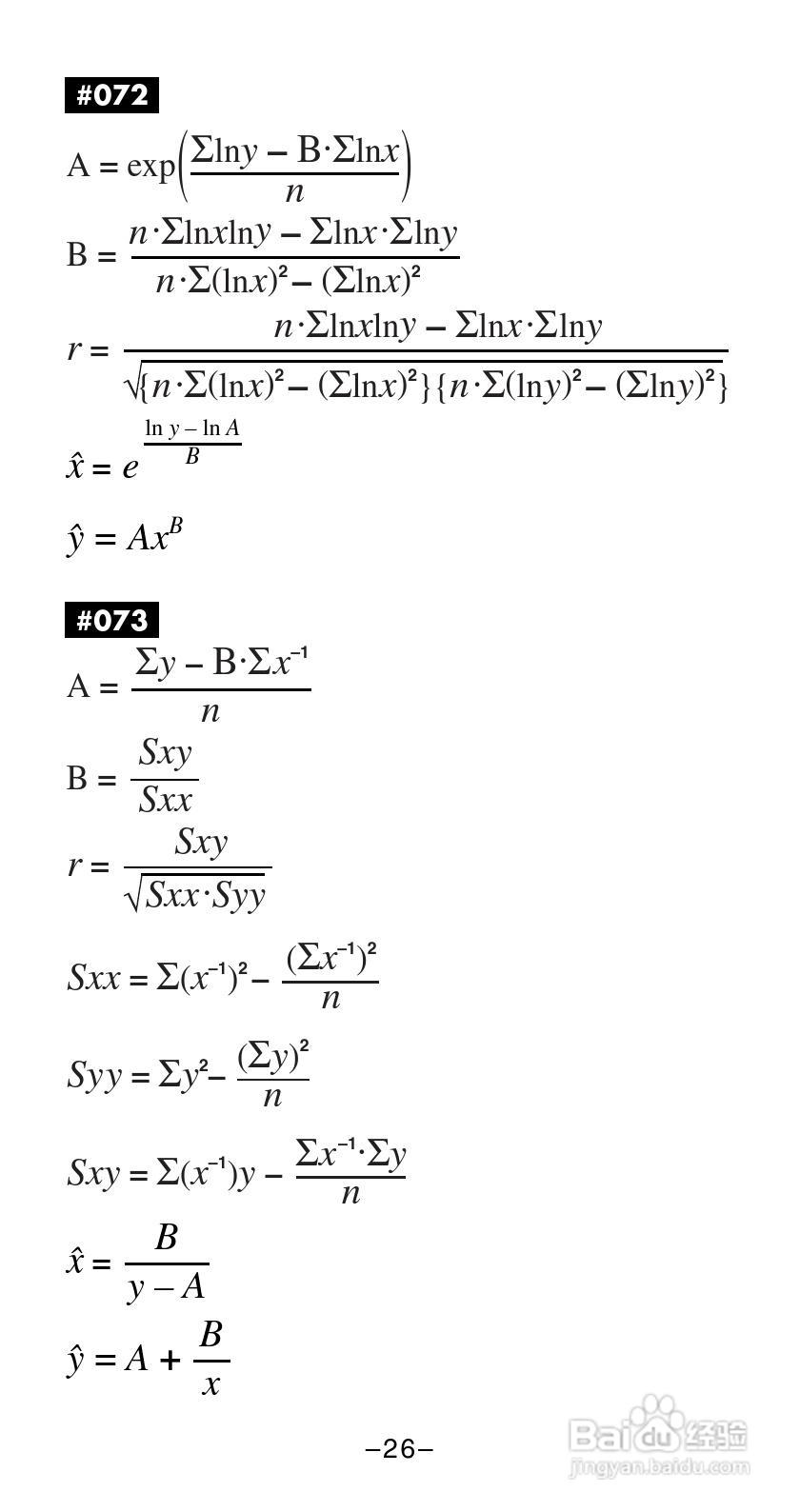
Casio FX-570ES / 991ES 科学计算器说明书:[3]
2025-12-20 17:22:34
本篇为《Casio FX-570ES / 991ES 科学计算器说明书》,主要介绍该产品的使用方法以及常见故障解决方案。
(共篇)
上一篇:
|
下一篇:
声明:
本网站引用、摘录或转载内容仅供网站访问者交流或参考,不代表本站立场,如存在版权或非法内容,请联系站长删除,联系邮箱:site.kefu@qq.com。
相关推荐
Casio FX-570ES / 991ES 科学计算器说明书:[6]
阅读量:56
Casio FX-570ES型科学计算器说明书:[3]
阅读量:39
Casio FX-570ES型科学计算器说明书:[8]
阅读量:62
Casio FX-570ES型科学计算器说明书:[4]
阅读量:125
如何使用fx-991es plus计算器解方程
阅读量:159
猜你喜欢
幸福是什么?
梦见小狗是什么意思
不解风情是什么意思
奇葩什么意思
届时什么意思
什么歌好唱
女孩什么时候来月经
这是什么踏板
仿丝棉是什么
快闪是什么意思
猜你喜欢
wild是什么意思
trf是什么意思
运动裤男
九里香的养殖方法
鞍前马后是什么意思
dim是什么意思
补钙有什么好处
最大的动物是什么
中央委员是什么级别
金钻的养殖方法和注意事项