指南生活
首页
美食营养
手工爱好
生活家居
返回
指南生活
首页
美食营养
游戏数码
手工爱好
生活家居
健康养生
运动户外
职场理财
情感交际
母婴教育
时尚美容
知识问答
生活知识
生活百科
搜索
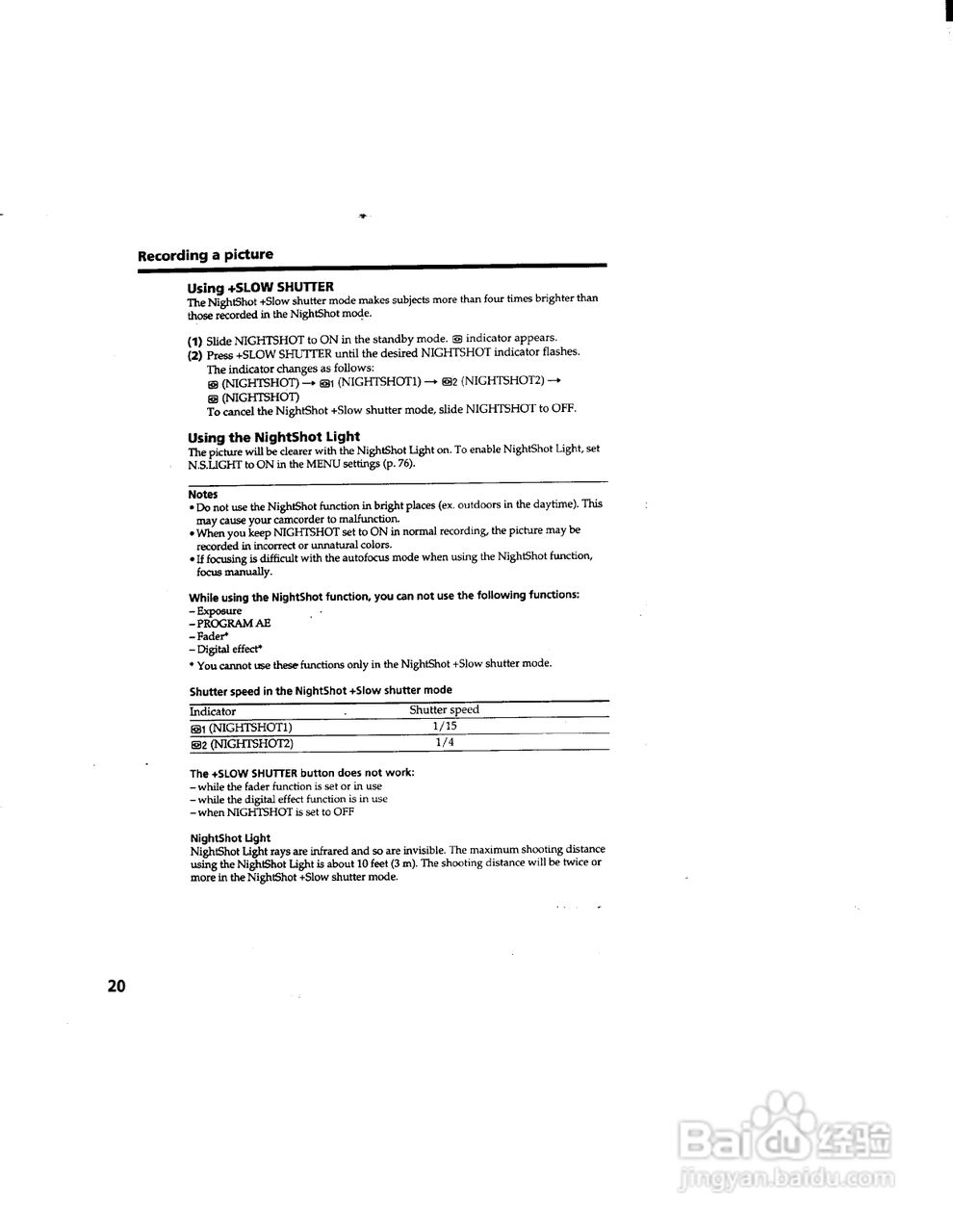
索尼DCR-TRV510数码摄像机说明书:[2]
2026-05-06 00:32:43
本篇为《索尼DCR-TRV510数码摄像机说明书》,主要介绍该产品的使用方法以及常见故障解决方案。
(共篇)
上一篇:
|
下一篇:
声明:
本网站引用、摘录或转载内容仅供网站访问者交流或参考,不代表本站立场,如存在版权或非法内容,请联系站长删除,联系邮箱:site.kefu@qq.com。
相关推荐
索尼DCR-TRV510数码摄像机说明书:[10]
阅读量:108
索尼DCR-TRV510数码摄像机说明书:[13]
阅读量:173
索尼a7r2视频拍摄如何设置
阅读量:145
索尼a6000新手教程
阅读量:53
索尼a7微单使用技巧
阅读量:135
猜你喜欢
河北传媒学院怎么样
内酯豆腐的家常做法
王中王中特网资料大全
扑克牌玩法大全
分析方法有哪些
qq群怎么解散
南瓜灯怎么做
海参的家常做法大全
家长签字评语大全20字
朴槿惠怎么读
猜你喜欢
豆角的做法大全家常
萝卜烧肉的家常做法
电子商务专业怎么样
香葱的种植方法
研究方法有哪些
酱猪蹄的家常做法
快速降糖的方法
作文大全400字
爱爱大全
有助于睡眠的方法