指南生活
首页
美食营养
手工爱好
生活家居
返回
指南生活
首页
美食营养
游戏数码
手工爱好
生活家居
健康养生
运动户外
职场理财
情感交际
母婴教育
时尚美容
知识问答
生活知识
搜索
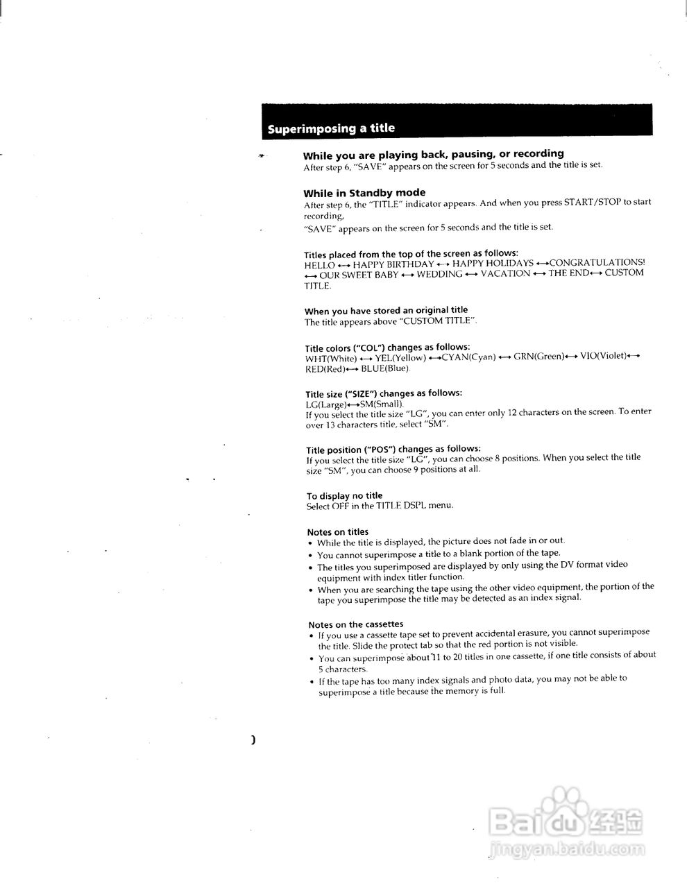
索尼DCR-TRV5数码摄像机说明书:[4]
2025-12-28 11:43:01
本篇为《索尼DCR-TRV5数码摄像机说明书》,主要介绍该产品的使用方法以及常见故障解决方案。
(共篇)
上一篇:
|
下一篇:
声明:
本网站引用、摘录或转载内容仅供网站访问者交流或参考,不代表本站立场,如存在版权或非法内容,请联系站长删除,联系邮箱:site.kefu@qq.com。
相关推荐
索尼DCR-TRV5数码摄像机说明书:[5]
阅读量:140
索尼DCR-TRV11数码摄像机说明书:[4]
阅读量:185
索尼DCR-TRV30数码摄像机说明书:[4]
阅读量:50
索尼a7r2视频拍摄如何设置
阅读量:53
索尼a7微单使用技巧
阅读量:132
猜你喜欢
奥术符文有什么用
买车一般都送什么东西
十岁生日祝福语
因材施教的意思
股票大盘是什么意思
羿的意思
秋天喝什么汤
什么是信息技术?
tonight是什么意思
父亲节祝福
猜你喜欢
mpc是什么意思
微不足道的意思是什么
ferry是什么意思
风情万种的意思
清包是什么意思
高歌什么舞
一行白鹭上青天的意思
十月一上坟有什么讲究
诡计多端的意思
秋浦歌的意思