minecraft要塞快速寻找法
1、创建一个新的世界

2、找一个视野开阔的地方,并按F3打开调试面板

3、丢出末影之眼,确定大概方向

4、再丢一个,当末影之眼飞到最高点停留时立即将准心中心对准末影之眼的中心,之后直到第六步前一定要避免鼠标再次移动

5、记录调试面板中的X,Z,a三个数据,分别记为X1,Z1,a1

6、向当前方向的斜前方约45°方向走大约500格(不必精确),找一个视野开阔的地方

7、重复第3~5步,但将X,Z,a三个数据分别记为X2,Z2,a2

1、公式如图,先计算X,再代入计算Z

2、如本例,计算结果为:
X=-171.2972969
Z=810.7179633
1、四处走走,使你屏幕上显示的坐标接近计算结果,并最终到达这个位置,如图

2、用正常找要塞的方式,即丢末影之眼,找到它钻入地下的位置,向下挖

3、在X=-173.700
Z=804.300的位置找到要塞,水平方向距计算所得位置仅6.88格,成功找到要塞

1、minecraft中的坐标系和数学上的坐标系略有不同,如图。其中,θ是计算坐标时所用的直线的倾斜角,与a之间有一定的关系,如图所示。而图中的4个角度值是a的取值。根据眼的飞行方向和眼出发地的坐标,可以在两个点作出两条直线,并用点斜式求出直线方程,计算交点即为要塞位置。

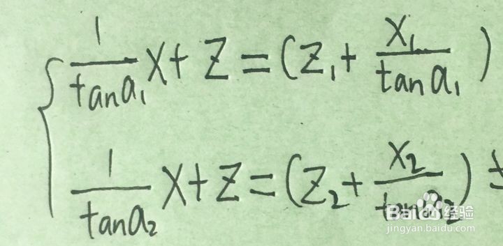
2、方程化简后如图,解出X、Z即为答案

声明:本网站引用、摘录或转载内容仅供网站访问者交流或参考,不代表本站立场,如存在版权或非法内容,请联系站长删除,联系邮箱:site.kefu@qq.com。
阅读量:157
阅读量:85
阅读量:100
阅读量:117
阅读量:116