二阶常系数线性微分方程---齐次方程解法
1、解题方程基本类型

2、通解(特解)的形式及其解法

1、为了更好地理解,这里给一个比较综和但也比较简单的题目。

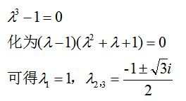
2、我们可以写出以下特征方程

3、由基本方法可知

4、结果为

1、对于二阶常系数线性齐次方程来说,解法非常简单,但是非齐次方程解法较为复杂多变,所以小编打算单独写出来,题目为二阶常系数线性微分方程---非齐次方程解法

声明:本网站引用、摘录或转载内容仅供网站访问者交流或参考,不代表本站立场,如存在版权或非法内容,请联系站长删除,联系邮箱:site.kefu@qq.com。
                                阅读量:68
阅读量:179
阅读量:37
阅读量:31
阅读量:171