特殊的微分方程的解法
1、先来看一个具体的例子:dsolve(y(3/2,x)+y(1/2,x)=x)
dslove是用来求微分方程的命令;
y(3/2,x)表示y(x)的3/2阶导数;
y(1/2,x)表示y(x)的1/2阶导数;
点击回车,就等着看答案吧。

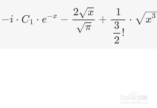
2、得到的答案是:
(-i)*C_1*e^(-x)+(-2.0)*1/sqrt(pi)*sqrt(x)+1/((3/2)!)*x^(3/2)
只有一个待定的常数。

3、如果要找一个函数y,使得y的1/2阶导数等于sin(x),这里介绍一个方法。
先在输入框里面输入:
dsolve(y(1/2,x)=sin(x))
然后按下回车键。

4、另一个方法,在输入框里面输入y(1/2,x)=sin(x),然后按下“dsolve”按钮。

5、还有一个方法,就是计算sin(x)的1/2阶积分:
在输入框里面输入sin(x),然后点击“半阶积分”按钮。
注意,不定积分的结果缺了待定常数C,需要大家自己加上。

6、再来一个复杂的例子:
y(pi,x)+y(1/pi,x)=sin(x)
y的pi阶导数与y的1/pi阶导数之和,等于sin(x),求y的解析式。


声明:本网站引用、摘录或转载内容仅供网站访问者交流或参考,不代表本站立场,如存在版权或非法内容,请联系站长删除,联系邮箱:site.kefu@qq.com。
阅读量:63
阅读量:164
阅读量:152
阅读量:184
阅读量:75