指南生活
首页
美食营养
手工爱好
生活家居
返回
指南生活
首页
美食营养
游戏数码
手工爱好
生活家居
健康养生
运动户外
职场理财
情感交际
母婴教育
时尚美容
知识问答
生活知识
搜索
威达Vivitar DVR 925HD数码摄像机使用说明书:[2]
2025-11-27 10:48:05
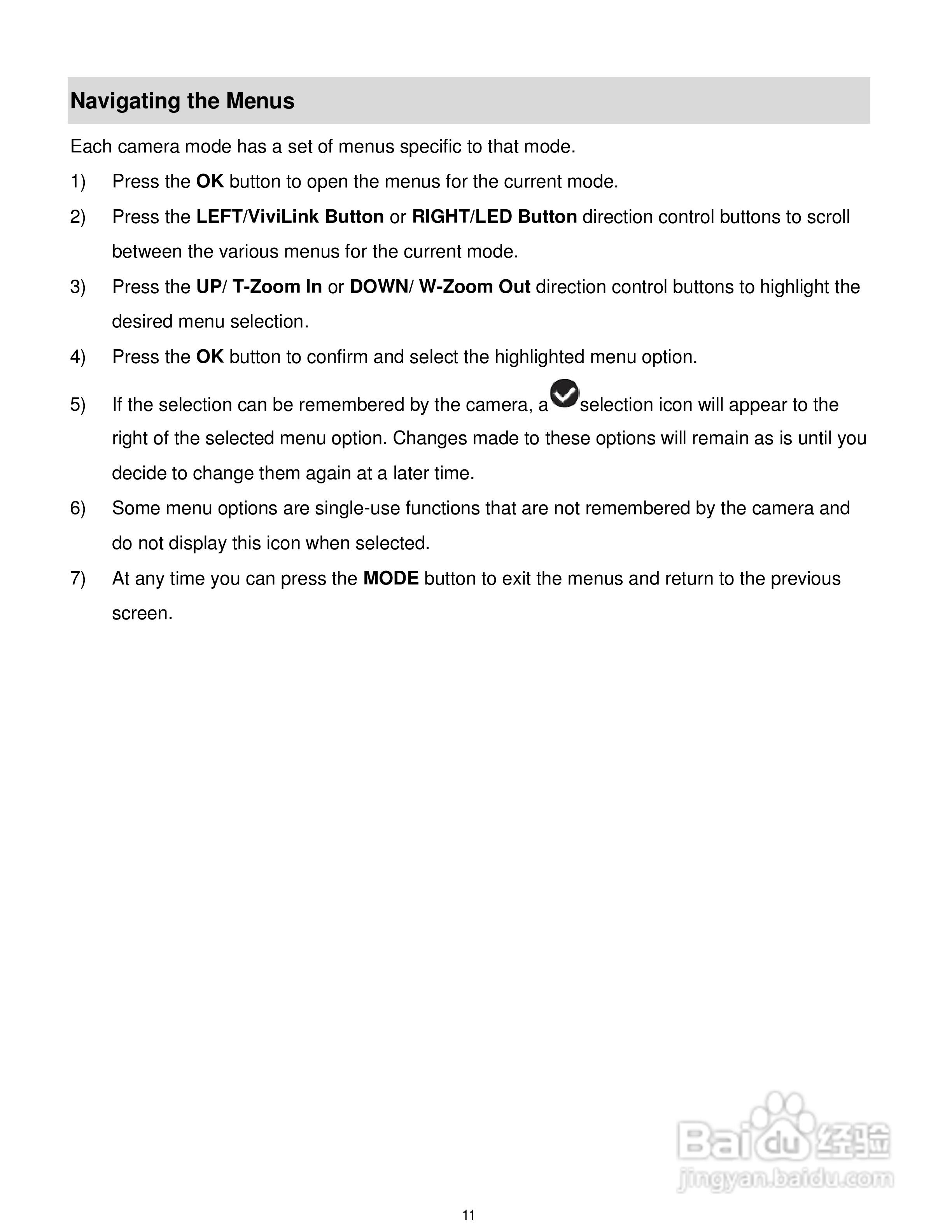
本篇为《威达Vivitar DVR 925HD数码摄像机使用说明书》,主要介绍该产品的使用方法以及常见故障解决方案。
(共篇)
上一篇:
|
下一篇:
声明:
本网站引用、摘录或转载内容仅供网站访问者交流或参考,不代表本站立场,如存在版权或非法内容,请联系站长删除,联系邮箱:site.kefu@qq.com。
相关推荐
威达Vivitar DVR 925HD数码摄像机使用说明书:[6]
阅读量:25
威达Vivitar DVR 990HD数码摄像机使用说明书:[2]
阅读量:31
威达Vivitar DVR 690HD数码摄像机使用说明书:[2]
阅读量:88
威达Vivitar DVR 805HD数码摄像机使用说明书:[2]
阅读量:171
威达Vivitar DVR 615HD数码摄像机使用说明书:[2]
阅读量:135
猜你喜欢
电脑蓝屏是什么原因
德玛西亚是什么意思
2000年属什么
手串什么材质的好
dead是什么意思
after是什么意思
odm是什么意思
质数是什么
宫颈癌是什么原因引起的
逆风如解意容易莫摧残什么意思
猜你喜欢
煤气罐在什么情况下会爆炸
4月是什么星座
生产力是什么
shape是什么意思
知足常乐什么意思
本领的近义词是什么
公司上市有什么好处
odd是什么意思
i miss you什么意思
邯郸学步告诉我们什么道理