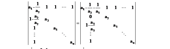
问一下什么是爪型行列式
类似于这样的就是爪型行列式。

方向不一定,an向四个角,都可以,看起来像个爪子。
扩展资料
行列式在数学中,是一个函数,其定义域为det的矩阵A,取值为一个标量,写作det(A)或 | A | 。无论是在线性代数、多项式理论,还是在微积分学中(比如说换元积分法中),行列式作为基本的数学工具,都有着重要的应用。
行列式可以看做是有向面积或体积的概念在一般的欧几里得空间中的推广。或者说,在 n 维欧几里得空间中,行列式描述的是一个线性变换对“体积”所造成的影响。
参考资料 百度百科-行列式
声明:本网站引用、摘录或转载内容仅供网站访问者交流或参考,不代表本站立场,如存在版权或非法内容,请联系站长删除,联系邮箱:site.kefu@qq.com。
阅读量:187
阅读量:49
阅读量:135
阅读量:54
阅读量:101