Word文档中线性公式和专业型公式的区别
1、打开Word,建立空白文档。

2、点击【插入】—【公式】,只是做演示,所以点击内置的任意一种公式。

3、就插入了该公式。

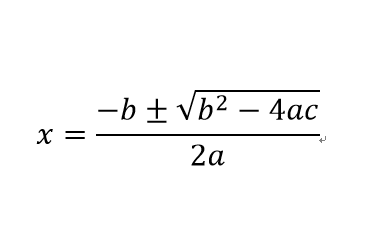
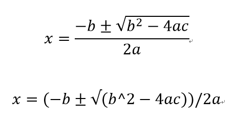
4、点击公式右边的向下箭头,有【专业型】和【线性】两个选项。

5、点击【线性】,则公式被转换为一种新的书写方式。

6、再点击【专业型】,又回到之前的公式书写方式。

7、所以,默认插入的公式都是专业型的。对比两种书写方式,【专业型】公式也就是在书本上看到的公式的书写格式,公式结构一目了然。而【线性】公式个人觉得不太易于公式结构的识别,但是公式都在一行中显示,所以比较易于文档排版。

声明:本网站引用、摘录或转载内容仅供网站访问者交流或参考,不代表本站立场,如存在版权或非法内容,请联系站长删除,联系邮箱:site.kefu@qq.com。
阅读量:96
阅读量:103
阅读量:66
阅读量:144
阅读量:157