Latex 求和积分的上下限技巧
1、首先,需要知道的是,求和、积分符号出现位置可能为上下,也可能是左右。在数学公式中,符号出现的位置取决于是行间公式还是独立公式。
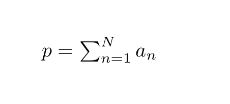
2、比如如下所示为上下位置,独立公式情形:
\begin{equation*}
p = \sum_{n=1}^Na_n
\end{equation*}

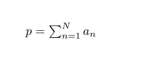
3、行间公式情形:
\begin{equation*}
p = \sum_{n=1}^Na_n
\end{equation*}

4、通过\limits 与 \nolimits可以改变缺省值。其中行间公式缺省使用\nolimits 而独立公式缺省使用\limits。如果要改变缺省规则,就要在符号后面、上下限之前加入上面的两个命令。
5、比如在独立公式前加\nolimits限制,如下所示:
\begin{equation*}
p = \sum\nolimits_{n=1}^Na_n
\end{equation*}

6、在行间前加\limits限制,如下所示:
$p = \sum\limits_{n=1}^Na_n$

声明:本网站引用、摘录或转载内容仅供网站访问者交流或参考,不代表本站立场,如存在版权或非法内容,请联系站长删除,联系邮箱:site.kefu@qq.com。
阅读量:191
阅读量:122
阅读量:188
阅读量:166
阅读量:82