指南生活
首页
美食营养
手工爱好
生活家居
返回
指南生活
首页
美食营养
游戏数码
手工爱好
生活家居
健康养生
运动户外
职场理财
情感交际
母婴教育
时尚美容
知识问答
生活知识
搜索
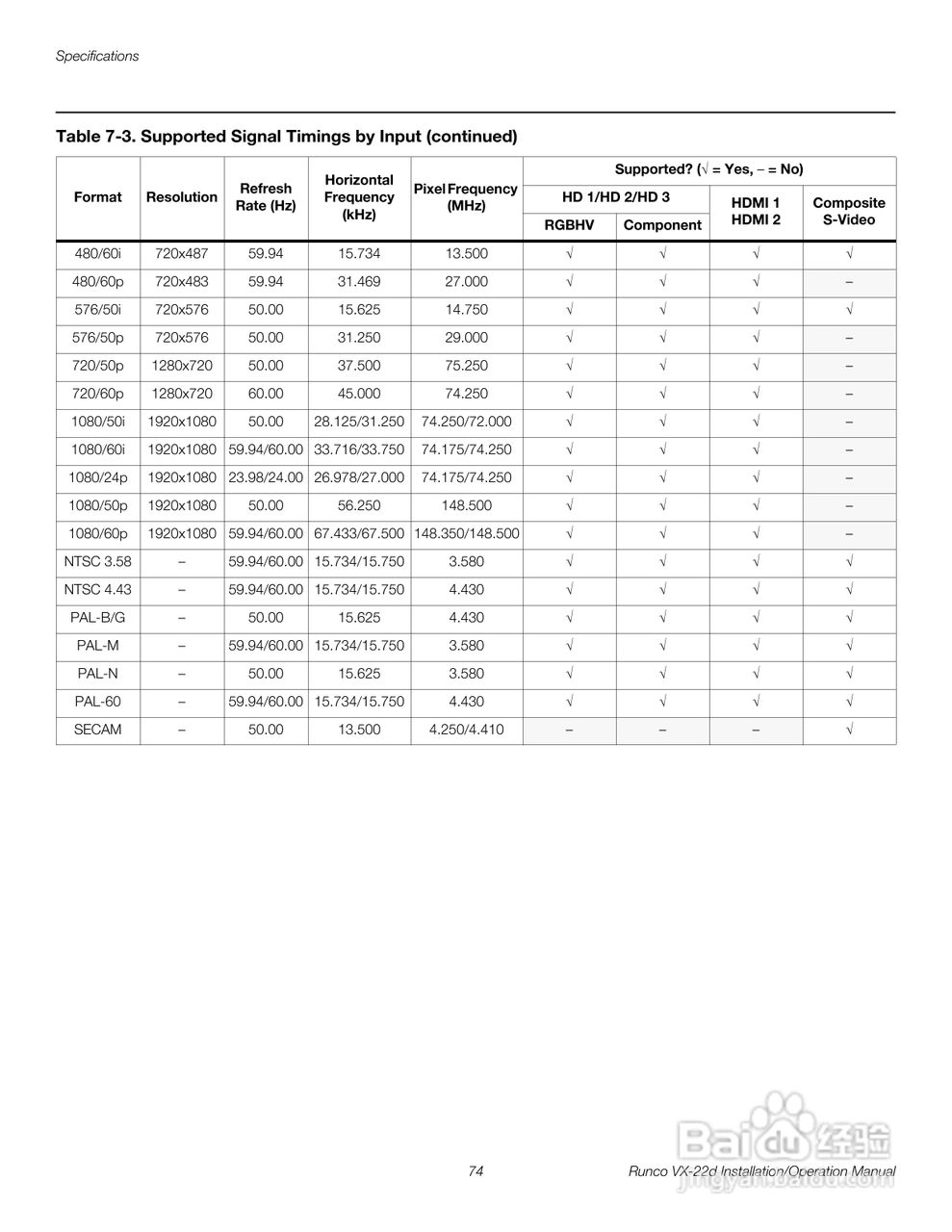
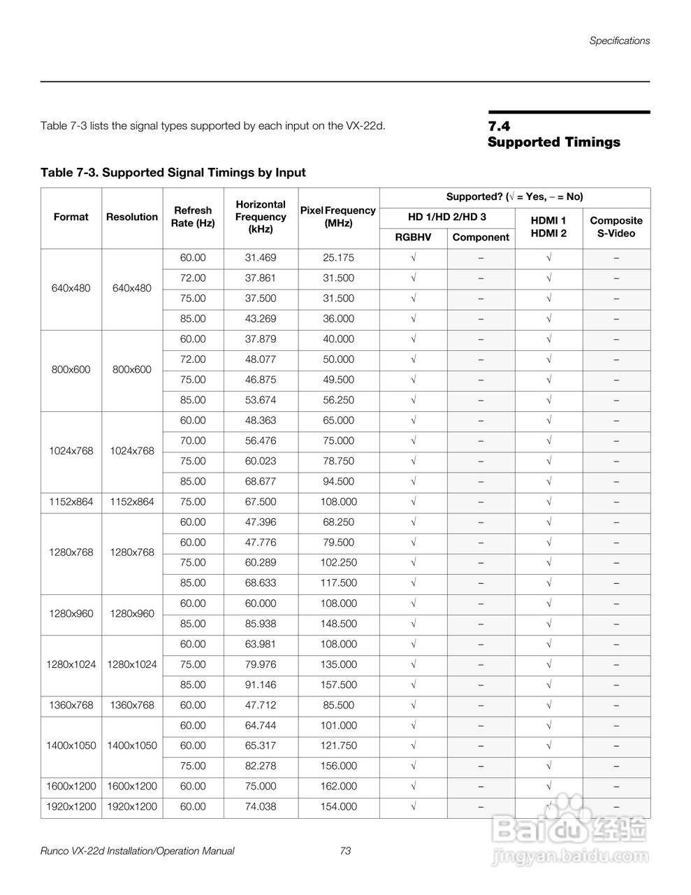
Runco VX-22d投影机使用说明书:[9]
2025-12-27 21:31:46
本篇为《Runco VX-22d投影机使用说明书》,主要介绍该产品的使用方法以及常见故障解决方案。
(共篇)
上一篇:
声明:
本网站引用、摘录或转载内容仅供网站访问者交流或参考,不代表本站立场,如存在版权或非法内容,请联系站长删除,联系邮箱:site.kefu@qq.com。
相关推荐
Runco VX-22d投影机使用说明书:[2]
阅读量:47
Runco VX-22d投影机使用说明书:[6]
阅读量:93
Runco VX-22i投影机使用说明书:[9]
阅读量:21
Runco VX-22i投影机使用说明书:[5]
阅读量:183
使用说明书封面怎么做
阅读量:120
猜你喜欢
fighting是什么意思
腿粗穿什么裤子
瑜伽的作用
树大招风什么意思
槐角的功效与作用
秋夜将晓出篱门迎凉有感古诗意思
银离子的作用
撤县设市有什么好处
rest是什么意思
备案是什么意思
猜你喜欢
应用型本科是什么意思
什么射击游戏好玩
雅思和托福有什么区别
昼夜的意思
黄体酮的作用和副作用
目睹的意思
惊鸿一瞥是什么意思
dress是什么意思
大彻大悟的意思
lion是什么意思