∫sin^2(ax+b)dx类型的不定积分方法
1、本步骤为,该类型不定积分公式的推导步骤,其中a≠0,b∈R.

1、积分函数中的变量为x+1类型,步骤如下:

2、此时积分采取凑分方法,dx=d(x+1).
1、积分函数中的变量为1-x类型,步骤如下:

2、此时积分采取凑分方法,dx=-d(1-x).
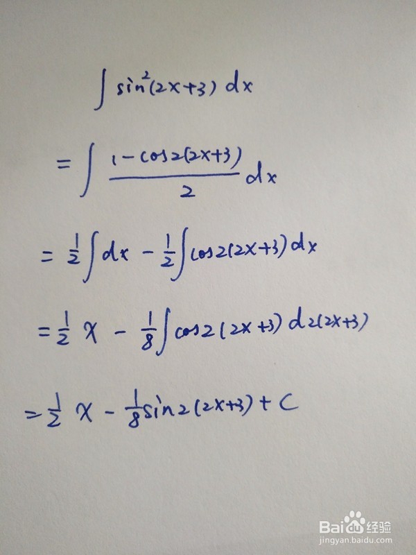
1、积分函数中的变量为2x+3类型,步骤如下:

2、此时积分采取凑分方法,dx=(1/2)d(2x+3).
1、积分函数中的变量为-2x+3类型,步骤如下:

2、此时积分采取凑分方法,dx=-(1/2)d(-2x+3).
1、积分函数中的变量为x+1/2类型,步骤如下:

2、此时积分采取凑分方法,dx=d(x+1/2).
1、积分函数中的变量为3x-m类型,步骤如下:

2、此时积分采取凑分方法,dx=(1/3)d(3x-m).
声明:本网站引用、摘录或转载内容仅供网站访问者交流或参考,不代表本站立场,如存在版权或非法内容,请联系站长删除,联系邮箱:site.kefu@qq.com。