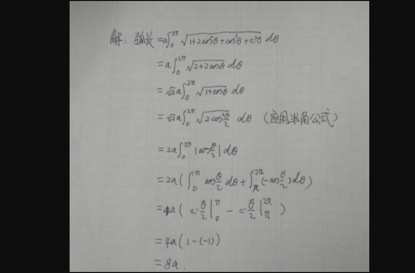
高数,摆线的弧长怎么求?过程。。
摆线的弧长为8a。
解:弧长=a∫<0,2π>√(2+2cosθ)dθ
=√2a∫<0,2π>√(1+cosθ)dθ
=√2a∫<0,2π>√(2cos²(θ/2))dθ (应用半角公式)
=2a∫<0,2π>∣cos(θ/2)∣dθ
=2a[∫<0,π>cos(θ/2)dθ+∫<π,2π>(-cos(θ/2))dθ]
=4a(1-(-1))
=8a(详解见图)

基本原理:
摆线针轮行星传动中,摆线轮齿廓曲线运用内啮合发生圆产生的短幅外摆线。
有一发生圆(滚圆)半径为rp',基圆半径为rc',基圆内切于发生圆,当发生圆绕基圆作纯滚动,其圆心Op分别处于Op1、Op2、Op3、Op4、Op5、Op6......各位置时,由此固结在发生圆平面上的点M分别经过M1、M2、M3、M4、M5、M6......各位置,由此发生圆周期滚动,发生圆上点M所形成的轨迹曲线即为短幅外摆线。
由以上摆线生成的几何关系 若仍保持以上的内切滚动关系,将基圆和摆线视为刚体相对于发生圆运动,则形成了摆线图形相对发生圆圆心Op作行星方式的运动,这就是行星摆线传动机构的基本原理。
以上内容参考:百度百科- 摆线
声明:本网站引用、摘录或转载内容仅供网站访问者交流或参考,不代表本站立场,如存在版权或非法内容,请联系站长删除,联系邮箱:site.kefu@qq.com。