指南生活
首页
美食营养
手工爱好
生活家居
返回
指南生活
首页
美食营养
游戏数码
手工爱好
生活家居
健康养生
运动户外
职场理财
情感交际
母婴教育
时尚美容
知识问答
生活知识
搜索
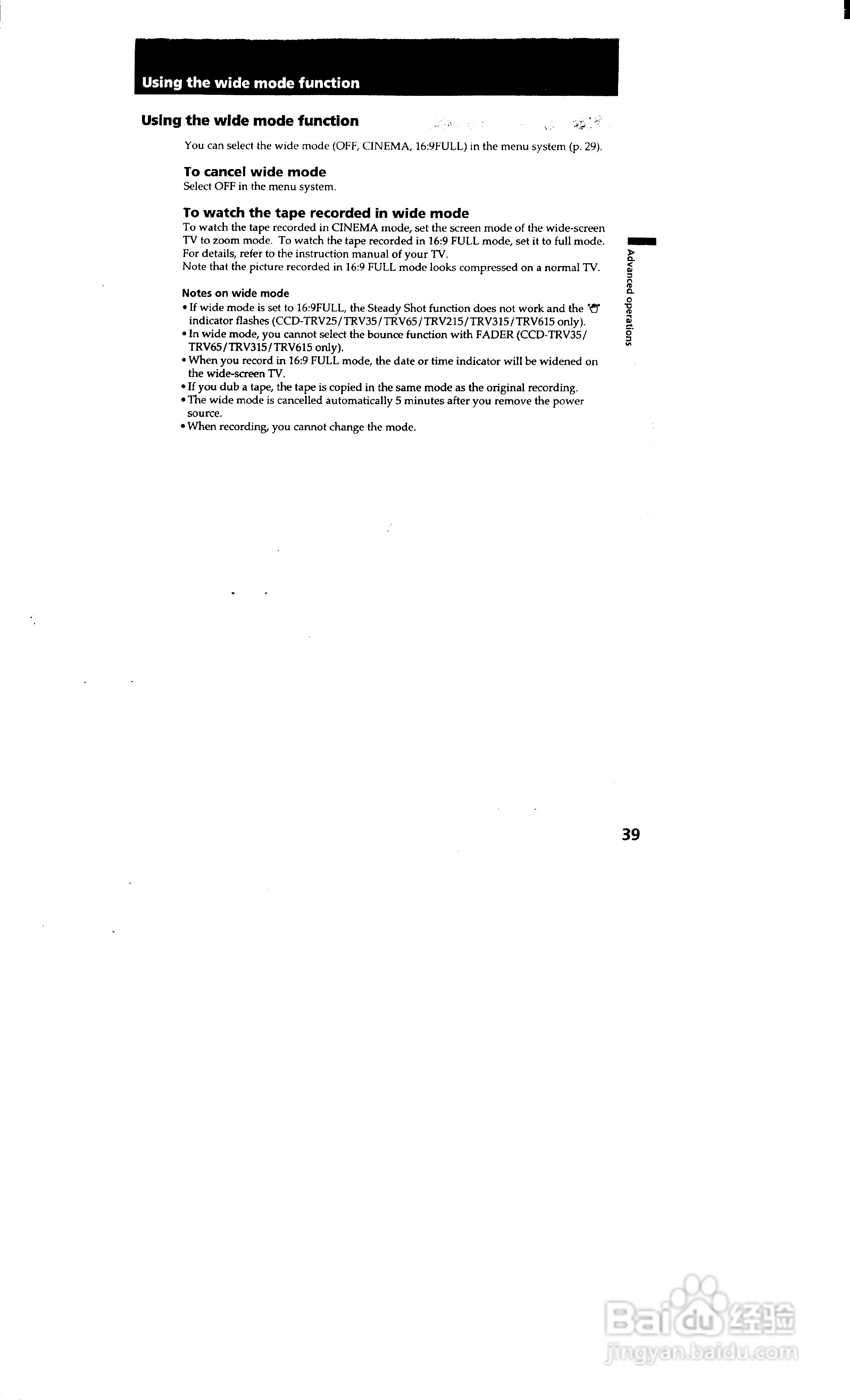
索尼CCD-TRV15数码摄像机说明书:[4]
2025-12-27 17:30:53
本篇为《索尼CCD-TRV15数码摄像机说明书》,主要介绍该产品的使用方法以及常见故障解决方案。
(共篇)
上一篇:
|
下一篇:
声明:
本网站引用、摘录或转载内容仅供网站访问者交流或参考,不代表本站立场,如存在版权或非法内容,请联系站长删除,联系邮箱:site.kefu@qq.com。
相关推荐
索尼CCD-TRV15数码摄像机说明书:[1]
阅读量:128
索尼CCD-TRV15模拟摄像机说明书:[9]
阅读量:185
索尼CCD-TRV20数码摄像机说明书:[15]
阅读量:192
索尼a7r2视频拍摄如何设置
阅读量:84
索尼耳机煲机方法
阅读量:175
猜你喜欢
胎动什么时候开始
send是什么意思
黄牛是什么意思
脸肿是什么原因
降压药什么时候吃最好
cookie是什么
什么是信息
soulmate是什么意思
band是什么意思
4月24日是什么星座
猜你喜欢
橘红色配什么颜色好看
太多的借口太多的理由是什么歌
微信是什么时候出来的
什么的大象
忐忑不安是什么意思
6月14日是什么节日
家用跑步机什么牌子好
boring是什么意思
wink什么意思
什么叫理财