指南生活
首页
美食营养
手工爱好
生活家居
返回
指南生活
首页
美食营养
游戏数码
手工爱好
生活家居
健康养生
运动户外
职场理财
情感交际
母婴教育
时尚美容
知识问答
生活知识
生活百科
搜索
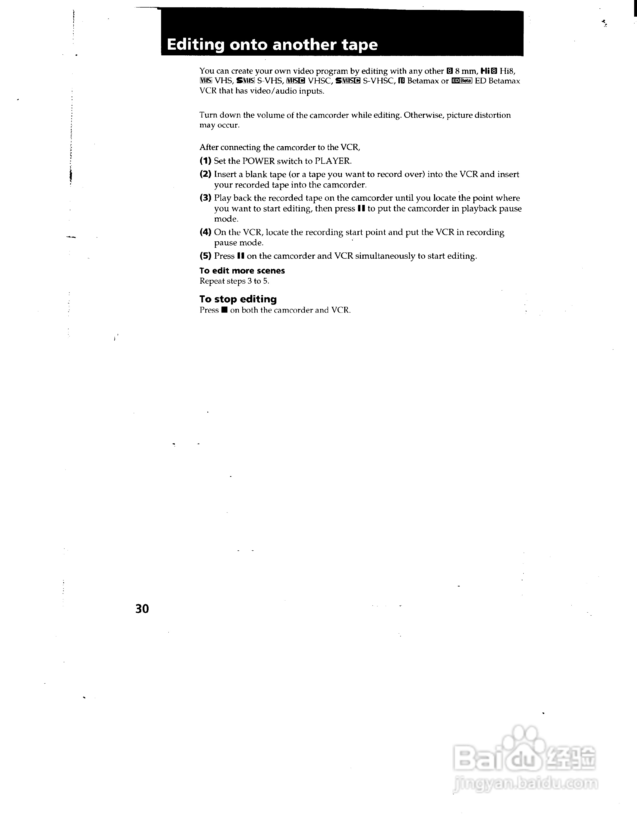
索尼CCD-TRV33模拟摄像机说明书:[3]
2026-05-07 19:21:52
本篇为《索尼CCD-TRV33模拟摄像机说明书》,主要介绍该产品的使用方法以及常见故障解决方案。
(共篇)
上一篇:
|
下一篇:
声明:
本网站引用、摘录或转载内容仅供网站访问者交流或参考,不代表本站立场,如存在版权或非法内容,请联系站长删除,联系邮箱:site.kefu@qq.com。
相关推荐
在深圳红酒是怎么报关进口?
阅读量:120
西安户外拓展训练
阅读量:39
《炸弹专家》攻略
阅读量:173
女人18——28岁不能错过的事情
阅读量:57
红鸡蛋花的栽培方法和注意事项有哪些?
阅读量:186
猜你喜欢
退税是什么意思
meas是什么意思
坐井观天告诉我们什么道理
梦魇是什么意思
好像的近义词是什么
煎牛排用什么油
271是什么意思
purple是什么意思
q币有什么用
容易出汗是什么原因
猜你喜欢
捐骨髓对人有什么危害
三山五岳分别指的是什么山
抓包是什么意思
喜欢和爱有什么区别
xxoo什么意思
重阳节是什么意思啊
十一朵玫瑰代表什么意思
手脚发麻是什么病征兆
flash是什么软件
注册公司需要什么条件