指南生活
首页
美食营养
手工爱好
生活家居
返回
指南生活
首页
美食营养
游戏数码
手工爱好
生活家居
健康养生
运动户外
职场理财
情感交际
母婴教育
时尚美容
知识问答
生活知识
搜索
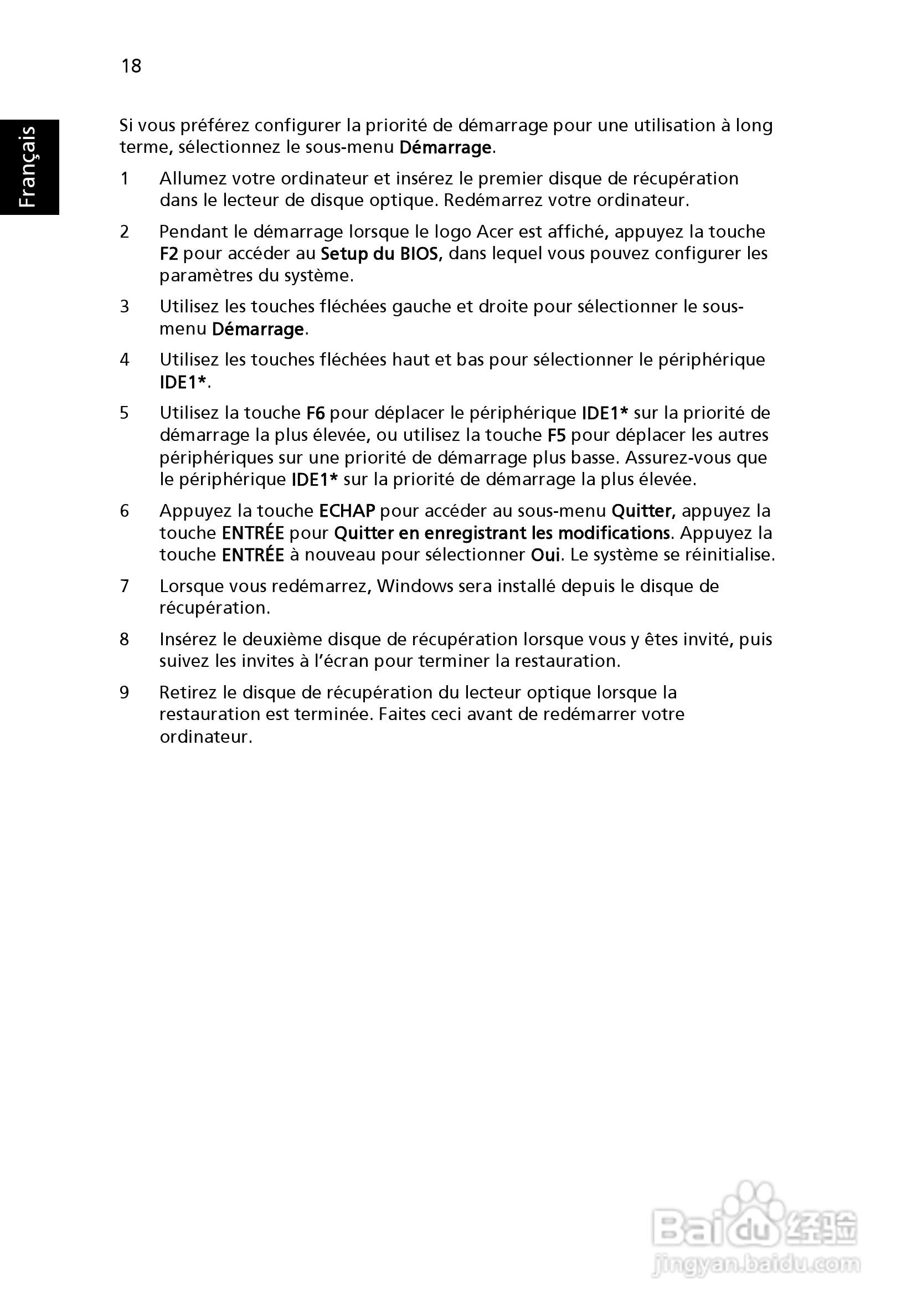
ACER宏基Aspire 5745Z笔记本说明书:[12]
2025-12-30 00:05:42
本篇为《ACER宏基Aspire 5745Z笔记本说明书》,主要介绍该产品的使用方法以及常见故障解决方案。
(共篇)
上一篇:
|
下一篇:
声明:
本网站引用、摘录或转载内容仅供网站访问者交流或参考,不代表本站立场,如存在版权或非法内容,请联系站长删除,联系邮箱:site.kefu@qq.com。
相关推荐
ACER宏基Aspire 5745Z笔记本说明书:[194]
阅读量:60
ACER宏基Aspire 5745Z笔记本说明书:[190]
阅读量:66
ACER宏基Aspire 5745Z笔记本说明书:[189]
阅读量:162
ACER宏基Aspire 5745Z笔记本说明书:[181]
阅读量:22
ACER宏基Aspire 5745Z笔记本说明书:[209]
阅读量:180
猜你喜欢
皈依是什么意思
筒灯什么牌子好
人设是什么意思
hot是什么意思
瘦马是什么意思
鬼使神差什么意思
梦到猫是什么意思
什么火锅好吃
肉便器是什么意思
濒临的意思
猜你喜欢
什么工作适合女生
苟且偷生的意思
得瑟什么意思
coat是什么意思中文
什么时候安全期
什么叫机械运动
日新月异的意思
丝瓜藤的功效与作用
伯乐是什么意思
可转债是什么意思