指南生活
首页
美食营养
手工爱好
生活家居
返回
指南生活
首页
美食营养
游戏数码
手工爱好
生活家居
健康养生
运动户外
职场理财
情感交际
母婴教育
时尚美容
知识问答
生活知识
搜索
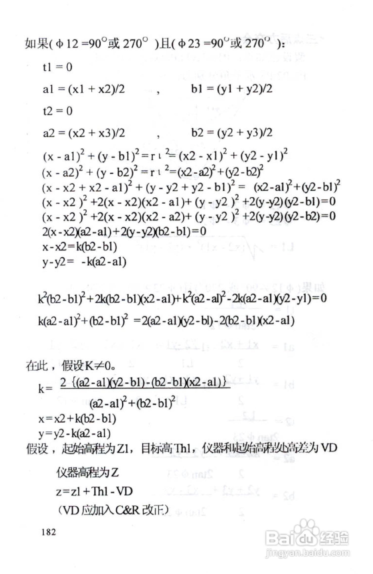
尼康DTM-801、831、851 系列全站仪使用手册:[19]
2026-01-09 02:15:26
本篇为《尼康DTM-801、831、851 系列全站仪使用手册》,主要介绍该产品的使用方法以及常见故障解决方案。
(共篇)
上一篇:
|
下一篇:
声明:
本网站引用、摘录或转载内容仅供网站访问者交流或参考,不代表本站立场,如存在版权或非法内容,请联系站长删除,联系邮箱:site.kefu@qq.com。
相关推荐
尼康DTM-801、831、851 系列全站仪使用手册:[15]
阅读量:55
全站仪使用方法
阅读量:161
全站仪的操作技巧
阅读量:67
全站仪任意点架设仪器测高程的各种方法
阅读量:109
全站仪obs 码率如何设置
阅读量:115
猜你喜欢
总是口腔溃疡是什么原因
维生素c的作用
转关是什么意思
心悦会员是什么
风控专员是做什么的
什么牌子的床垫好
篮子什么意思
石斑鱼养殖
什么是suv
zzp什么意思
猜你喜欢
bh是什么意思
维生素b17
送朋友什么礼物好
含有维生素c的食物
八万左右买什么车好
疑是银河落九天的疑是什么意思
送男生什么生日礼物比较好
pity是什么意思
一什么窗帘
jazz是什么意思