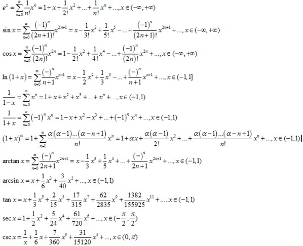
几个常用幂级数展开式
常用幂级数展开式如下:

因式分解
={1/(x+1)+1/[2(1-x/2)]}/3
展开成x的幂级数
=(n=0到∞)∑[(-x)^n+
(x/2)^n/2]
收敛域-1<x<1
绝对收敛级数:
一个绝对收敛级数的正数项与负数项所组成的级数都是收敛的。一个条件收敛级数的正数项与负数项所组成的级数都是发散的。
对于任意给定的正数tol,可以找到合适的区间(譬如坐标绝对值充分小),使得这个区间内任意三个点组成的三角形面积都小于tol。
声明:本网站引用、摘录或转载内容仅供网站访问者交流或参考,不代表本站立场,如存在版权或非法内容,请联系站长删除,联系邮箱:site.kefu@qq.com。
阅读量:96
阅读量:196
阅读量:115
阅读量:136
阅读量:111