怎么在word中编辑公式?
1、打开word,点击“插入”。

2、点击右边“公式”。

3、页面弹出一个公式编辑处,上方设计工具栏中进行公式编辑。

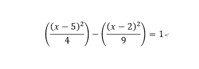
1、这里编辑一个椭圆方程。点击图示方程括号图标。

2、然后点击图示分号图标。

3、然后将鼠标将编辑图标防止分号上方,点击图示上下标,在文档公式编辑上下标中输入公式内容,用键盘即可。


4、由于下半部分,格式和前面一样,所以可以直接粘贴复制,进行编辑。

5、稍作改动,公式编辑成功,希望对你有帮助。

声明:本网站引用、摘录或转载内容仅供网站访问者交流或参考,不代表本站立场,如存在版权或非法内容,请联系站长删除,联系邮箱:site.kefu@qq.com。
阅读量:66
阅读量:145
阅读量:110
阅读量:40
阅读量:137