Mills曲线怎么作图
1、先来化简Mills曲线的表达式,当n较小的时候:
f[1, {x, y}]、f[2, {x, y}]、……、f[9, {x, y}]

2、作出这九条曲线的图像:
ContourPlot[f[1, {x, y}] == 0, {x, -2, 2}, {y, -2, 2}]


3、Mills曲线,表面看着像是一簇直线,实际上就是这样子茄侨的。
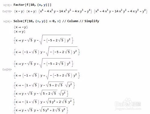
以f[10, {x, y}]为例,它可以分解为10个x和y的一次代数式的乘积。但是Factor不行,要先解方程。

4、如果把f[n, {x, y}]视为二元函数,那么图像就八迅是一组曲雁总糟面。
Table[Plot3D[f[n, {x, y}], {x, -8, 8}, {y, -8, 8}], {n, 2, 11}]

5、n逐步增大,图像也会发生变化,导出动态图,如下。




声明:本网站引用、摘录或转载内容仅供网站访问者交流或参考,不代表本站立场,如存在版权或非法内容,请联系站长删除,联系邮箱:site.kefu@qq.com。
阅读量:63
阅读量:118
阅读量:123
阅读量:118
阅读量:146