x∧2sinx定积分
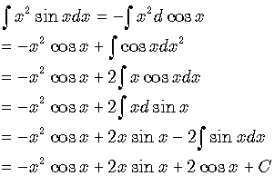
解题过程如下图:

定积分是积分的一种,是函数f(x)在区间[a,b]上积分和的极限。
这里应注意定积分与不定积分之间的关系:若定积分存在,则它是一个具体的数值(曲边梯形的面积),而不定积分是一个函数表达式。
扩展资料
定理
一般定理
定理1:设f(x)在区间[a,b]上连续,则f(x)在[a,b]上可积。
定理2:设f(x)区间[a,b]上有界,且只有有限个间断点,则f(x)在[a,b]上可积。
定理3:设f(x)在区间[a,b]上单调,则f(x)在[a,b]上可积。
声明:本网站引用、摘录或转载内容仅供网站访问者交流或参考,不代表本站立场,如存在版权或非法内容,请联系站长删除,联系邮箱:site.kefu@qq.com。
阅读量:33
阅读量:149
阅读量:108
阅读量:116
阅读量:188