1s2s2p3s能级排布图记忆规律是什么
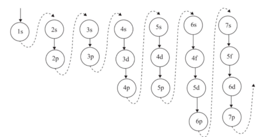
相关如下图:

填充时是从1s开始,填满一列再返回右面一列的顶端,继续从上往下填充。(和课本上的图类似)(填充中,以ns开头、np结束为一个周期,也就是上面的一个能级组。)
还需要记住各能级中最多能够容纳的电子数为:s 2个;p 6个;d 10个;f 14个。另外,必须注意:根据填充顺序写出来的结果,需要根据能层序数加以调整,电子排布式。
例如:根据填充顺序写出来的1s22s22p63s23p64s23d104p1(31号镓元素) 需要调整为1s22s22p63s23p63d104s24p1才能算是正确的。
声明:本网站引用、摘录或转载内容仅供网站访问者交流或参考,不代表本站立场,如存在版权或非法内容,请联系站长删除,联系邮箱:site.kefu@qq.com。
阅读量:100
阅读量:71
阅读量:194
阅读量:100
阅读量:108