如何分析等面积液压孔板模块?
1、库:Hydraulic Elements。
如下图所示。

2、说明
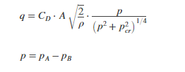
恒定孔口面积的水力模型。通过孔板的流量与通过孔板的压差成比例,并根据以下方程式确定:

3、其中详细信息,如图所示。

4、湍流的最小压力pcr根据层流过渡规范方法计算:
通过压力比-从层流到湍流状态的过渡由以下方程式定义:

5、其中详细信息如下图所示。

6、端口
块具有以下端口:
A与孔板进口相关的液压储油口。
B与孔板出口相关的液压储油口。

声明:本网站引用、摘录或转载内容仅供网站访问者交流或参考,不代表本站立场,如存在版权或非法内容,请联系站长删除,联系邮箱:site.kefu@qq.com。
阅读量:161
阅读量:44
阅读量:175
阅读量:109
阅读量:85