指南生活
首页
美食营养
手工爱好
生活家居
返回
指南生活
首页
美食营养
游戏数码
手工爱好
生活家居
健康养生
运动户外
职场理财
情感交际
母婴教育
时尚美容
知识问答
生活知识
搜索
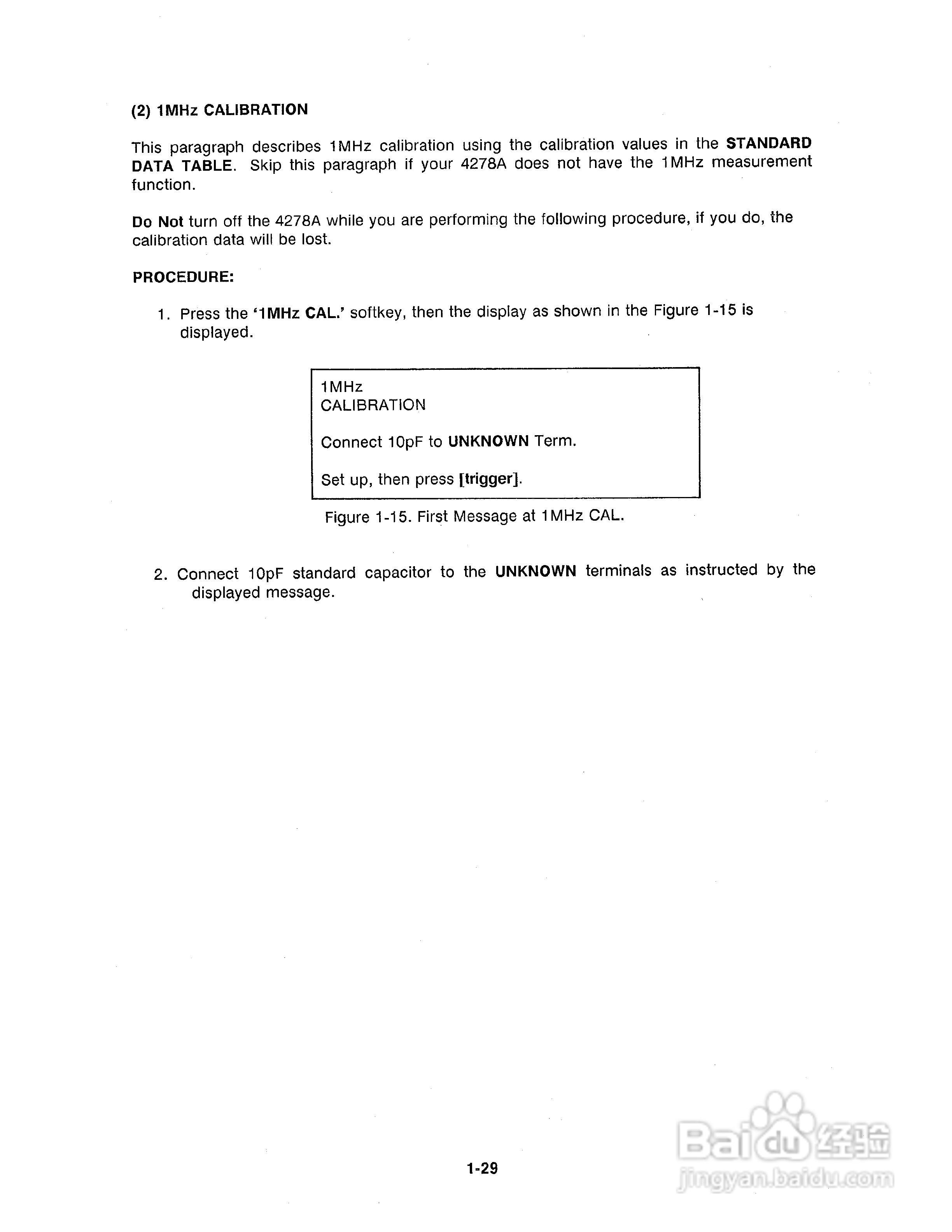
HP 4278A测试电桥使用说明书:[5]
2026-03-07 07:15:50
本篇为《HP 4278A测试电桥使用说明书》,主要介绍该产品的使用方法以及常见故障解决方案。
(共篇)
上一篇:
|
下一篇:
声明:
本网站引用、摘录或转载内容仅供网站访问者交流或参考,不代表本站立场,如存在版权或非法内容,请联系站长删除,联系邮箱:site.kefu@qq.com。
相关推荐
HP 4278A测试电桥使用说明书:[4]
阅读量:34
HP 4278A测试电桥使用说明书:[10]
阅读量:166
TH2817A型LCR数字电桥使用说明书:[5]
阅读量:128
使用说明书wf2651使用指南
阅读量:67
使用说明书封面怎么做
阅读量:176
猜你喜欢
转转笔怎么玩
手机中毒了怎么办
鼻塞怎么办速效办法
怎么锻炼肌肉
常熟理工学院怎么样
房贷提前还款怎么还
剖腹产后怎么瘦肚子
楔子怎么写
别克凯越怎么样
立方怎么计算
猜你喜欢
ppt主题怎么设置
qq炫舞怎么结婚
小孩肚子疼怎么办
八字排盘怎么看
大舌头怎么办
儿童头发怎么扎好看
卫生间漏水怎么补救
苹果手机怎么定位追踪
床怎么摆放方向风水好
四级准考证忘了怎么办