化简二次根式之前学过什么
化简二次根式之前学过平方,开平方与平方运算互为逆运算。

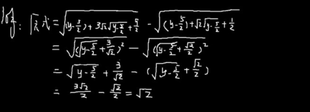
二次根式化简的基本方法:
1、根号下是一个正整数。
将该数字拆分成一个完全平方数和某个数字的乘积,然后将完全平方数开平方放到根号外面。
2、根号下是一个分数。
将该分数拆分成一个分数的平方数和某个数字的乘积,然后将分数开根号到根号外面。
3、根号下有数字和字母。
这种情况下,由于不确定字母是正数还是负数,因此开放的时候要带着绝对值开方。
4、两个根式相加减。
首先将两个根式通分,然后再运算。
数学常用的解决技巧:
1、配方法。
所谓配方,就是把一个解析式利用恒等变形的方法,把其中的某些项配成一个或几个多项式正整数次幂的和形式。
通过配方解决数学问题的方法叫配方法。其中,用的最多的是配成完全平方式。
配方法是数学中一种重要的恒等变形的方法,它的应用十分非常广泛,在因式分解、化简根式、解方程、证明等式和不等式、求函数的极值和解析式等方面都经常用到它。
2、因式分解法。
因式分解,就是把一个多项式化成几个整式乘积的形式。
因式分解是恒等变形的基础,它作为数学的一个有力工具、一种数学方法在代数、几何、三角等的解题中起着重要的作用。
因式分解的方法有许多,除课本上介绍的提取公因式法、公式法、分组分解法、十字相乘法等外,还有如利用拆项添项、求根分解、换元、待定系数等等。
声明:本网站引用、摘录或转载内容仅供网站访问者交流或参考,不代表本站立场,如存在版权或非法内容,请联系站长删除,联系邮箱:site.kefu@qq.com。
阅读量:174
阅读量:97
阅读量:187
阅读量:84
阅读量:117