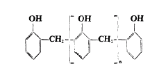
酚醛树脂的结构式是什么
酚醛树脂的结构式如图:

黄色、透明、无定形块状物质,因含有游离酚而呈微红色,实体的比重平均1.7左右,易溶于醇,不溶于水,对水、弱酸、弱碱溶液稳定。由苯酚和甲醛在催化剂条件下缩聚、经中和、水洗而制成的树脂。因选用催化剂的不同,可分为热固性和热塑性两类。
酚醛树脂具有良好的耐酸性能、力学性能、耐热性能,广泛应用于防腐蚀工程、胶粘剂、阻燃材料、砂轮片制造等行业。
液体酚醛树脂为黄色、深棕色液体,如:碱性酚醛树脂主要做铸造黏结剂。

扩展资料
酚醛树脂最重要的特征就是耐高温性,即使在非常高的温度下,也能保持其结构的整体性和尺寸的稳定性。正因为这个原因,酚醛树脂才被应用于一些高温领域,例如耐火材料,摩擦材料,粘结剂和铸造行业。
酚醛树脂一个重要的应用就是作为粘结剂。酚醛树脂是一种多功能,与各种各样的有机和无机填料都能相容的物质。设计正确的酚醛树脂,润湿速度特别快。并且在交联后可以为磨具、耐火材料,摩擦材料以及电木粉提供所需要的机械强度,耐热性能和电性能。
水溶性酚醛树脂或醇溶性酚醛树脂被用来浸渍纸、棉布、玻璃、石棉和其它类似的物质为它们提供机械强度,电性能等。典型的例子包括电绝缘和机械层压制造,离合器片和汽车滤清器用滤纸。
在温度大约为1000℃ 的惰性气体条件下,酚醛树脂会产生很高的残碳,这有利于维持酚醛树脂的结构稳定性。酚醛树脂的这种特性,也是它能用于耐火材料领域的一个重要原因。
与其他树脂系统相比,酚醛树脂系统具有低烟低毒的优势。在燃烧的情况下,用科学配方生产出的酚醛树脂系统,将会缓慢分解产生氢气、碳氢化合物、水蒸气和碳氧化物。分解过程中所产生的烟相对少,毒性也相对低。这些特点使酚醛树脂适用于公共运输和安全要求非常严格的领域,如矿山,防护栏和建筑业等。
声明:本网站引用、摘录或转载内容仅供网站访问者交流或参考,不代表本站立场,如存在版权或非法内容,请联系站长删除,联系邮箱:site.kefu@qq.com。
阅读量:91
阅读量:42
阅读量:189
阅读量:117
阅读量:162