一维热传导公式
一维热传导公式是:

当物体内的温度分布只依赖于一个空间坐标,而且温度分布不随时间而变时,热量只沿温度降低的一个方向传递,这称为一维定态热传导。此时的热传导可用一维热传导公式描述;
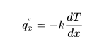
式中q″x为是热流密度,即在与传输方向相垂直的单位面积上,在x方向上的传热速率;T为温度;x为热传递方向的坐标;k为热导率。此式表明q正比于温度梯度dT/dx,但热流方向与温度梯度方向相反。此规律由法国物理学家傅里叶于1822年首先提出,故称为傅里叶定律。

扩展资料:
辞典中的定义
热量传递的一种方式。热传导是由于大量分子、原子或电子的互相撞击,使能量从物体温度较高部分传至温度较低部分的过程。是固体中热传递的主要方式。在气体或液体中,热传导过程往往与对流同时发生。传导和对流也是人体散热的方式之一。
血液循环将体内的热量带到体表,皮肤将热传递给贴近皮肤的空气层(传导散热),受热的空气层温度增高、密度变小、因而流动上升,周围的冷空气则流向皮肤表面以填补流走的空气(对流散热)。因此,人体传导散热与对流散热总是联系在一起的。
声明:本网站引用、摘录或转载内容仅供网站访问者交流或参考,不代表本站立场,如存在版权或非法内容,请联系站长删除,联系邮箱:site.kefu@qq.com。
阅读量:88
阅读量:189
阅读量:173
阅读量:92
阅读量:122