指南生活
首页
美食营养
手工爱好
生活家居
返回
指南生活
首页
美食营养
游戏数码
手工爱好
生活家居
健康养生
运动户外
职场理财
情感交际
母婴教育
时尚美容
搜索
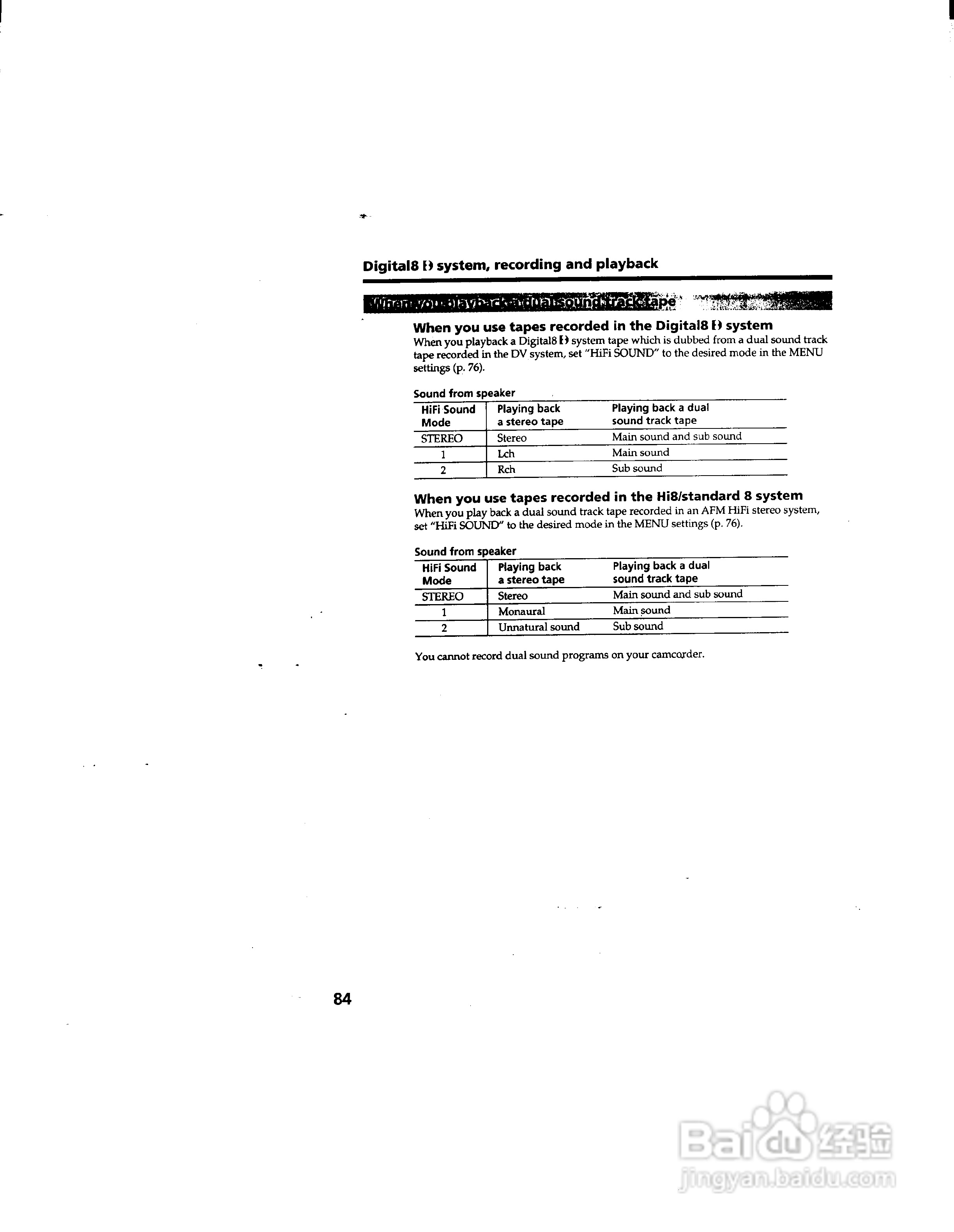
索尼DCR-TRV510数码摄像机说明书:[9]
2025-10-16 18:37:44
本篇为《索尼DCR-TRV510数码摄像机说明书》,主要介绍该产品的使用方法以及常见故障解决方案。
(共篇)
上一篇:
|
下一篇:
声明:
本网站引用、摘录或转载内容仅供网站访问者交流或参考,不代表本站立场,如存在版权或非法内容,请联系站长删除,联系邮箱:site.kefu@qq.com。
相关推荐
索尼DCR-TRV510数码摄像机说明书:[10]
阅读量:191
索尼DCR-TRV510数码摄像机说明书:[11]
阅读量:129
索尼a7r2视频拍摄如何设置
阅读量:148
索尼a6000新手教程
阅读量:189
索尼a6000肩带怎么装
阅读量:106
猜你喜欢
ova是什么意思
郁郁寡欢是什么意思
sense是什么意思
什么桥下没水
awful是什么意思
健身喝什么牛奶
dr检查是什么
孺子可教是什么意思
tgp是什么
叶酸什么时候开始吃
猜你喜欢
ws什么意思
人的一生啊是什么歌
绿茶表是什么意思
下巴长粉刺是什么原因
运动会照片
mango是什么牌子
放疗和化疗有什么区别
height什么意思
庇护是什么意思
民法典是什么意思