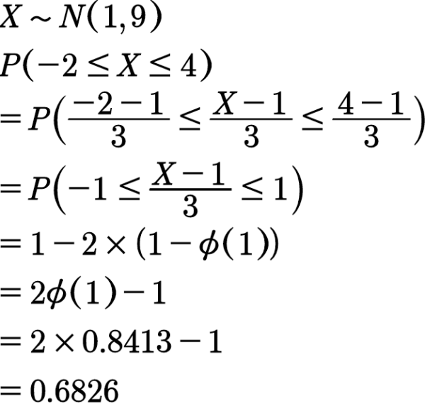
设随机变量X服从正态分布N(1,3²),求P{-2≤X≤4},注:Ф(1)=0.8413
具体回答如图:

若随机变量X服从一个数学期望为μ、方差为σ^2的正态分布,记为N(μ,σ^2)。其概率密度函数为正态分布的期望值μ决定了其位置,其标准差σ决定了分布的幅度。当μ = 0,σ = 1时的正态分布是标准正态分布。
扩展资料:
由于一般的正态总体其图像不一定关于y轴对称,对于任一正态总体,其取值小于x的概率。只要会用它求正态总体在某个特定区间的概率即可。
为了便于描述和应用,常将正态变量作数据转换。将一般正态分布转化成标准正态分布。
声明:本网站引用、摘录或转载内容仅供网站访问者交流或参考,不代表本站立场,如存在版权或非法内容,请联系站长删除,联系邮箱:site.kefu@qq.com。
                                阅读量:190
阅读量:46
阅读量:83
阅读量:112
阅读量:148