开环系统的极点与闭环系统的极点有什么关系?
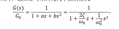
1、任何一个二阶系统,无论它称帮是开环系统还是闭环系统,总可以化简瞧祝游为如下图所示的样子

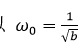
2、下图中的ω0是特征 频率

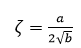
3、ξ称为阻尼因子

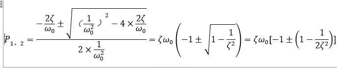
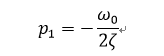
4、所以我们可以推导出两个极点的表达式

5、分别得到了P1和P2


6、从上面的分析可以知道:开环系统的极点可以改变闭环系统的极点位置外,同时开环系统的RHP零点也会影响到闭环极点的位置,甚至可以改变极点薪散的性质。
声明:本网站引用、摘录或转载内容仅供网站访问者交流或参考,不代表本站立场,如存在版权或非法内容,请联系站长删除,联系邮箱:site.kefu@qq.com。
阅读量:116
阅读量:156
阅读量:104
阅读量:140
阅读量:186