生产节拍应该怎么计算
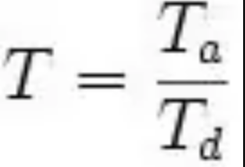
生产节拍计算公式如下:

T = Takt Time (生产节拍)
Ta = Time Available (可用工作时间,分钟数 / 天)
Td = Time Demanded or Customer demand (客户需求,件数 / 天)
可用工作时间是剔除了休息时间和所有预期停工时间(譬如维护和交接班的时间)。
生产节拍与生产周期
从生产节拍的定义可以看出,生产节拍与生产周期不同,生产节拍实际是一种目标时间,是随需求数量和需求期的有效工作时间变化而变化的,是人为制定的。节拍反映的是需求对生产的调节,如果需求比较稳定,则所要求的节拍也是比较稳定的;
当需求发生变化时节拍也会随之发生变化,如需求减少时节拍就会变长,反之则变短。生产周期则是生产效率的指标,比较稳定,是受到一定时期的设备加工能力、劳动力配置情况、工艺方法等因素影响决定的,只能通过管理和技术改进才能缩短。
声明:本网站引用、摘录或转载内容仅供网站访问者交流或参考,不代表本站立场,如存在版权或非法内容,请联系站长删除,联系邮箱:site.kefu@qq.com。
阅读量:90
阅读量:184
阅读量:144
阅读量:196
阅读量:170