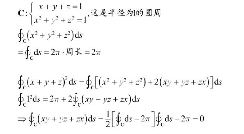
设L为x+y+z=1与x2+y2+z2=1的交线 求曲线积分1、∫ (x2+y2+z2)ds,2、
如下:

不定积分的公式
1、∫ a dx = ax + C,a和C都是常数
2、∫ x^a dx = [x^(a + 1)]/(a + 1) + C,其中a为常数且 a ≠ -1
3、∫ 1/x dx = ln|x| + C
4、∫ a^x dx = (1/lna)a^x + C,其中a > 0 且 a ≠ 1
5、∫ e^x dx = e^x + C
6、∫ cosx dx = sinx + C
7、∫ sinx dx = - cosx + C
8、∫ cotx dx = ln|sinx| + C = - ln|cscx| + C
声明:本网站引用、摘录或转载内容仅供网站访问者交流或参考,不代表本站立场,如存在版权或非法内容,请联系站长删除,联系邮箱:site.kefu@qq.com。