d方y/dx方 是什么意思 怎么求
意思是求微分,结果为:2
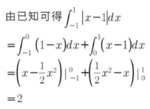
解题过程如下:

扩展资料
假设函数y=f(x)的图象为曲线,且曲线上有一点(x1,y1),那么根据切线斜率的求法,就可以得出该点切线的斜率m:
m=dy/dx在(x1,y1)的值
所以该切线的方程式为:
y-y1=m(x-x1)
由于法线与切线互相垂直,法线的斜率为-1/m且它的方程式为:
y-y1=(-1/m)(x-x1)
增函数与减函数
微分是一个鉴别函数(在指定定义域内)为增函数或减函数的有效方法。
鉴别方法:dy/dx与0进行比较,dy/dx大于0时,说明dx增加为正值时,dy增加为正值,所以函数为增函数;dy/dx小于0时,说明dx增加为正值时,dy增加为负值,所以函数为减函数。
声明:本网站引用、摘录或转载内容仅供网站访问者交流或参考,不代表本站立场,如存在版权或非法内容,请联系站长删除,联系邮箱:site.kefu@qq.com。