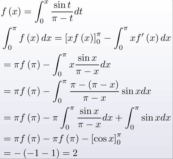
对变上限积分函数求定积分
解答:

设f(x)在区间[a,b]上连续,则f(x)在[a,b]上可积。设f(x)区间[a,b]上有界,且只有有限个间断点,则f(x)在[a,b]上可积。设f(x)在区间[a,b]上单调,则f(x)在[a,b]上可积。
黎曼积分
定积分的正式名称是黎曼积分。用黎曼自己的话来说,就是把直角坐标系上的函数的图象用平行于y轴的直线把其分割成无数个矩形,然后把某个区间[a,b]上的矩形累加起来,所得到的就是这个函数的图象在区间[a,b]的面积。实际上,定积分的上下限就是区间的两个端点a,b。
声明:本网站引用、摘录或转载内容仅供网站访问者交流或参考,不代表本站立场,如存在版权或非法内容,请联系站长删除,联系邮箱:site.kefu@qq.com。
阅读量:166
阅读量:35
阅读量:53
阅读量:140
阅读量:161