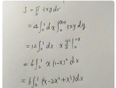
x的绝对值加y的绝对值小于等于1,二重积分3xy等于多少
结果是1/2,解答过程如下:

第二步:

不定积分的公式
1、∫ a dx = ax + C,a和C都是常数
2、∫ x^a dx = [x^(a + 1)]/(a + 1) + C,其中a为常数且 a ≠ -1
3、∫ 1/x dx = ln|x| + C
4、∫ a^x dx = (1/lna)a^x + C,其中a > 0 且 a ≠ 1
5、∫ e^x dx = e^x + C
6、∫ cosx dx = sinx + C
7、∫ sinx dx = - cosx + C
求不定积分的方法:
第一类换元其实就是一种拼凑,利用f'(x)dx=df(x);而前面的剩下的正好是关于f(x)的函数,再把f(x)看为一个整体,求出最终的结果。(用换元法说,就是把f(x)换为t,再换回来)。
分部积分,就那固定的几种类型,无非就是三角函数乘上x,或者指数函数、对数函数乘上一个x这类的,记忆方法是把其中一部分利用上面提到的f‘(x)dx=df(x)变形,再用∫xdf(x)=f(x)x-∫f(x)dx这样的公式,当然x可以换成其他g(x)。
声明:本网站引用、摘录或转载内容仅供网站访问者交流或参考,不代表本站立场,如存在版权或非法内容,请联系站长删除,联系邮箱:site.kefu@qq.com。
阅读量:124
阅读量:172
阅读量:176
阅读量:182
阅读量:146