指南生活
首页
美食营养
手工爱好
生活家居
返回
指南生活
首页
美食营养
游戏数码
手工爱好
生活家居
健康养生
运动户外
职场理财
情感交际
母婴教育
时尚美容
知识问答
生活知识
生活百科
搜索
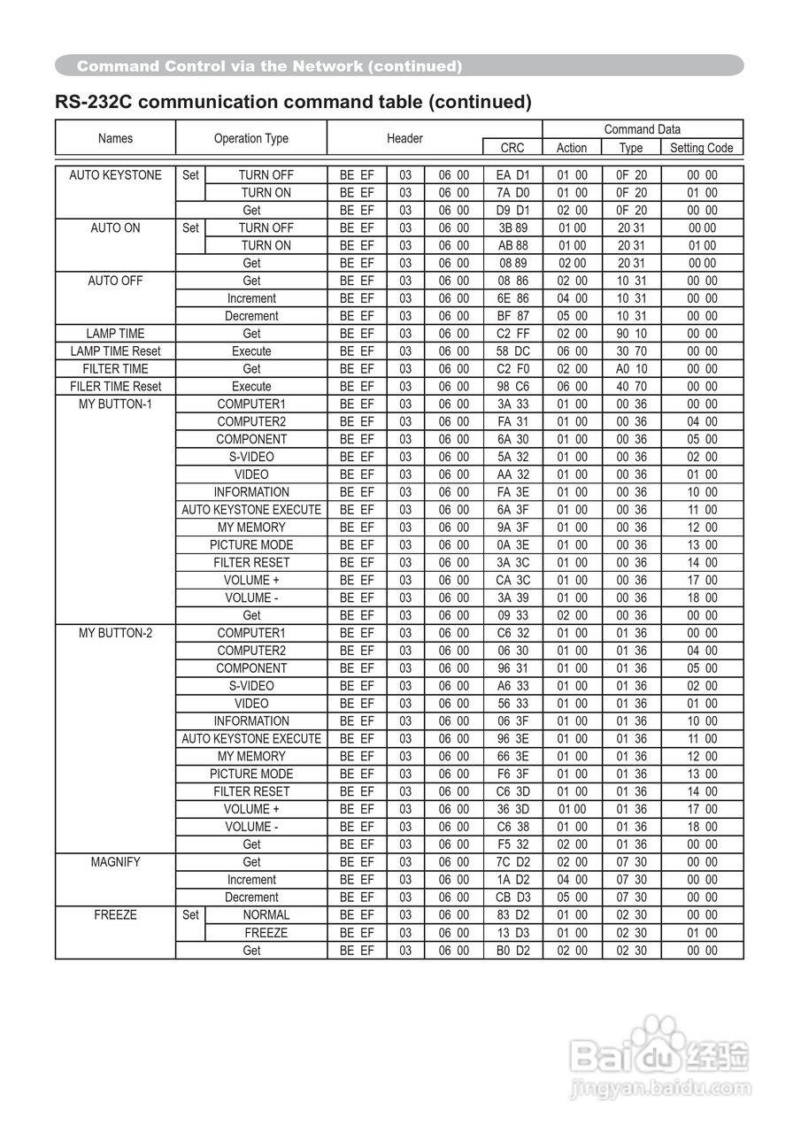
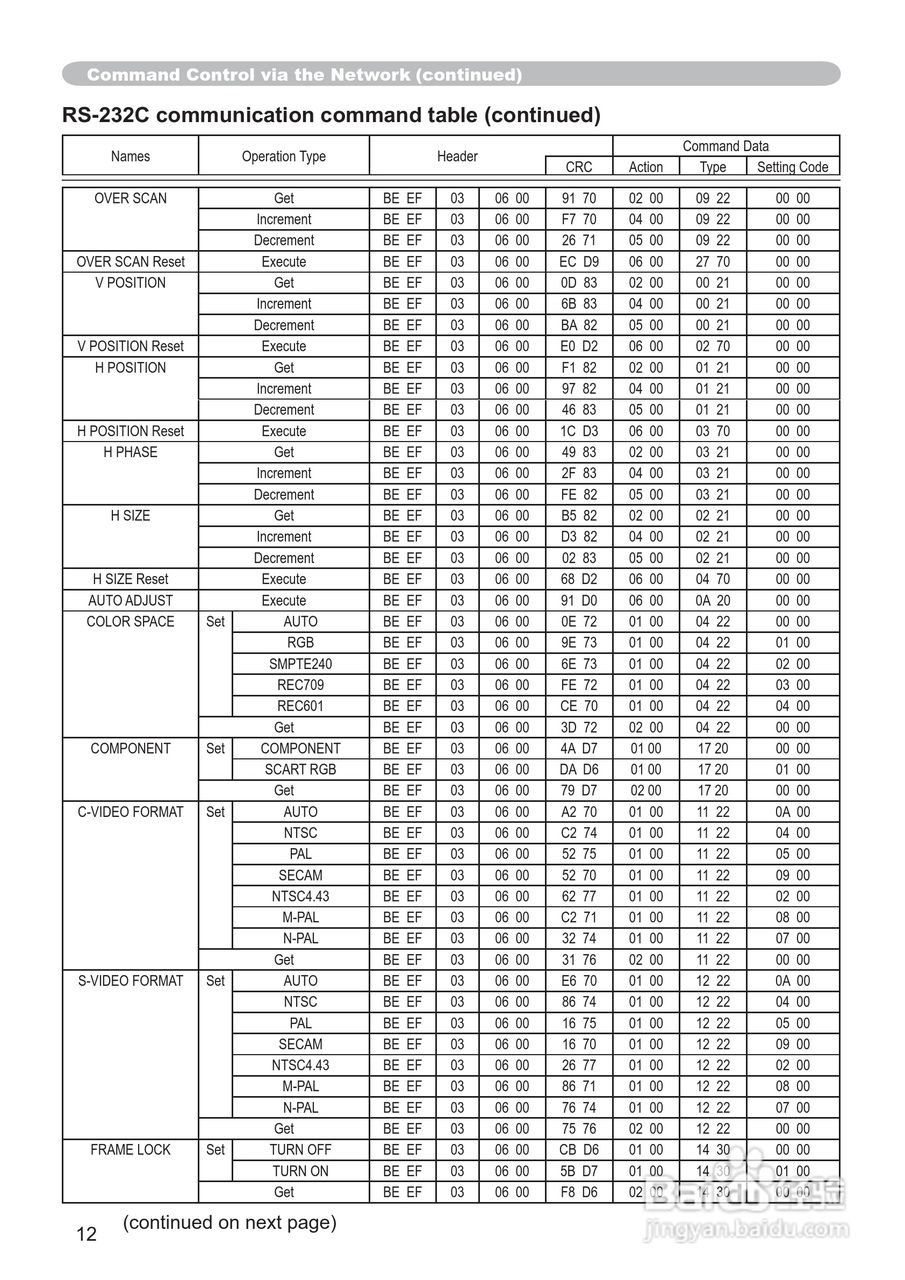
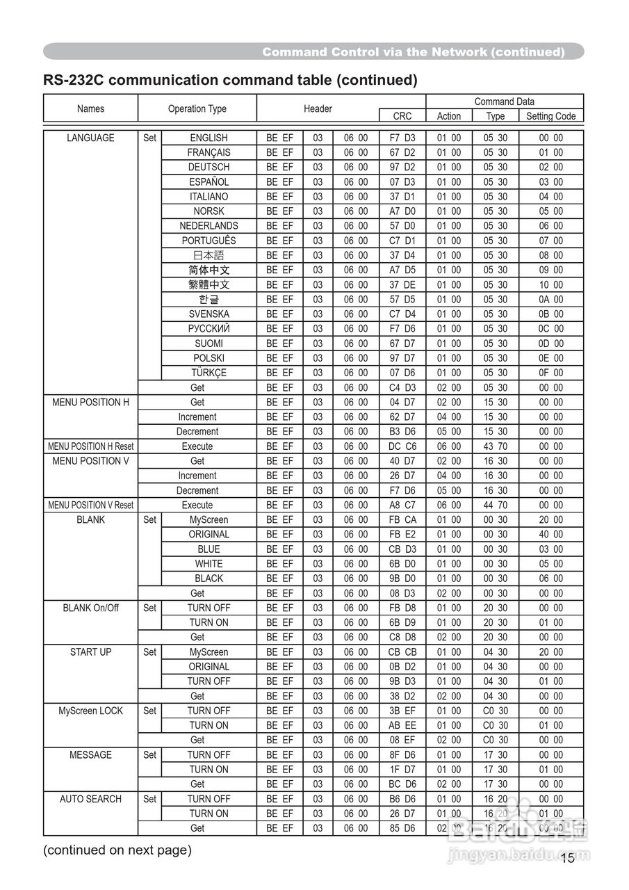
日立 ED-X30投影机说明书:[10]
2026-04-10 14:04:26
本篇为《日立 ED-X30投影机说明书》,主要介绍该产品的使用方法以及常见故障解决方案。
(共篇)
上一篇:
声明:
本网站引用、摘录或转载内容仅供网站访问者交流或参考,不代表本站立场,如存在版权或非法内容,请联系站长删除,联系邮箱:site.kefu@qq.com。
相关推荐
日立 ED-X30投影机说明书:[3]
阅读量:81
日立 ED-X30投影机说明书:[8]
阅读量:92
日立 ED-X10投影机说明书:[4]
阅读量:130
日立 ED-X12投影机说明书:[8]
阅读量:146
投影机ip设置
阅读量:183
猜你喜欢
怎么样使眼睛变大
皮肤晒伤发红怎么办
什么植物可以净化空气
青岛旅游必去景点
云南旅游景点攻略自由行
yy没声音怎么回事
孕妇可以吃冰淇淋吗
cad倒角怎么标注
色斑是怎么形成的
青海旅游攻略路线
猜你喜欢
孕妇可以吃香菜吗
没有身份证可以坐高铁吗
我有5万怎么理财
ipad可以打电话吗
兰州旅游
微软输入法怎么卸载
西安有哪些旅游景点
运城旅游景点
峨眉山旅游
怎么样化妆