贝诺酯的合成?
1、贝诺酯是一种新型抗风湿,解热镇痛抗炎的药物,是由阿司匹林和扑热息痛经拼合原理制成的。

2、贝诺酯保留了原药的解热镇痛功能,适用于急慢性风湿性关节炎,风湿痛,感冒发烧,头痛以及神经痛等症状。

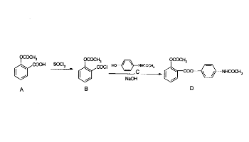
3、先制作阿司匹林,用原材料水杨酸,乙酸酐进行相应的实验后,抽滤阿司匹林的精品。

4、在装有温度计,球形冷凝管中加入阿司匹林,二甲苯甲酰胺制作乙酸水杨酰氯,冷却,密封备用。

5、在装有温度计,搅拌器和滴液漏斗的瓶中加入乙酰氨基分,在滴入氢氧化钠溶液,反应液反复过滤3次,将得到的滤液放置析晶。

1、1.了解贝诺酯。
2.了解贝诺酯如何制作。
3.了解贝诺酯作用。
声明:本网站引用、摘录或转载内容仅供网站访问者交流或参考,不代表本站立场,如存在版权或非法内容,请联系站长删除,联系邮箱:site.kefu@qq.com。