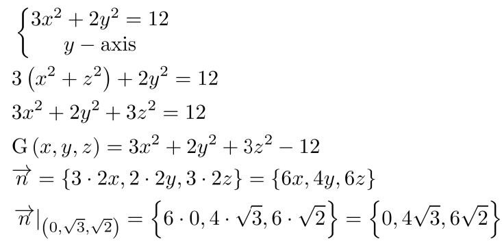
3x^2+2y^2=12,z=0饶Y轴旋转一周所得旋转曲面在点(0,根号3,根号2)处指向外侧的法
解答:

椭圆3x^2+2y^2=12, z=0. 绕y轴旋转的旋转面为
3(x^2+z^2)+2y^2=12
f(x,y,z)=3(x²+z²)+2y²-12
旋转面在点外侧的单位法向量n∝(f'x,f'y,f'z)=(6x,4y,6z)
旋转面在点m(0,根号3,根号2)处指向外侧的单位法向量为
(0,√(2/5),√(3/5))
说明:
(1)纬圆也可以看作垂直于旋转轴的平面与旋转曲面的交线;
(2)旋转曲面可由母线绕旋转轴旋转生成,也可以由纬圆族生成,轴则是纬圆族的连心线;
(3)任一经线都可以作为母线,但母线不一定是经线。
声明:本网站引用、摘录或转载内容仅供网站访问者交流或参考,不代表本站立场,如存在版权或非法内容,请联系站长删除,联系邮箱:site.kefu@qq.com。
阅读量:29
阅读量:118
阅读量:187
阅读量:32
阅读量:169