指南生活
首页
美食营养
手工爱好
生活家居
返回
指南生活
首页
美食营养
游戏数码
手工爱好
生活家居
健康养生
运动户外
职场理财
情感交际
母婴教育
时尚美容
知识问答
生活知识
搜索
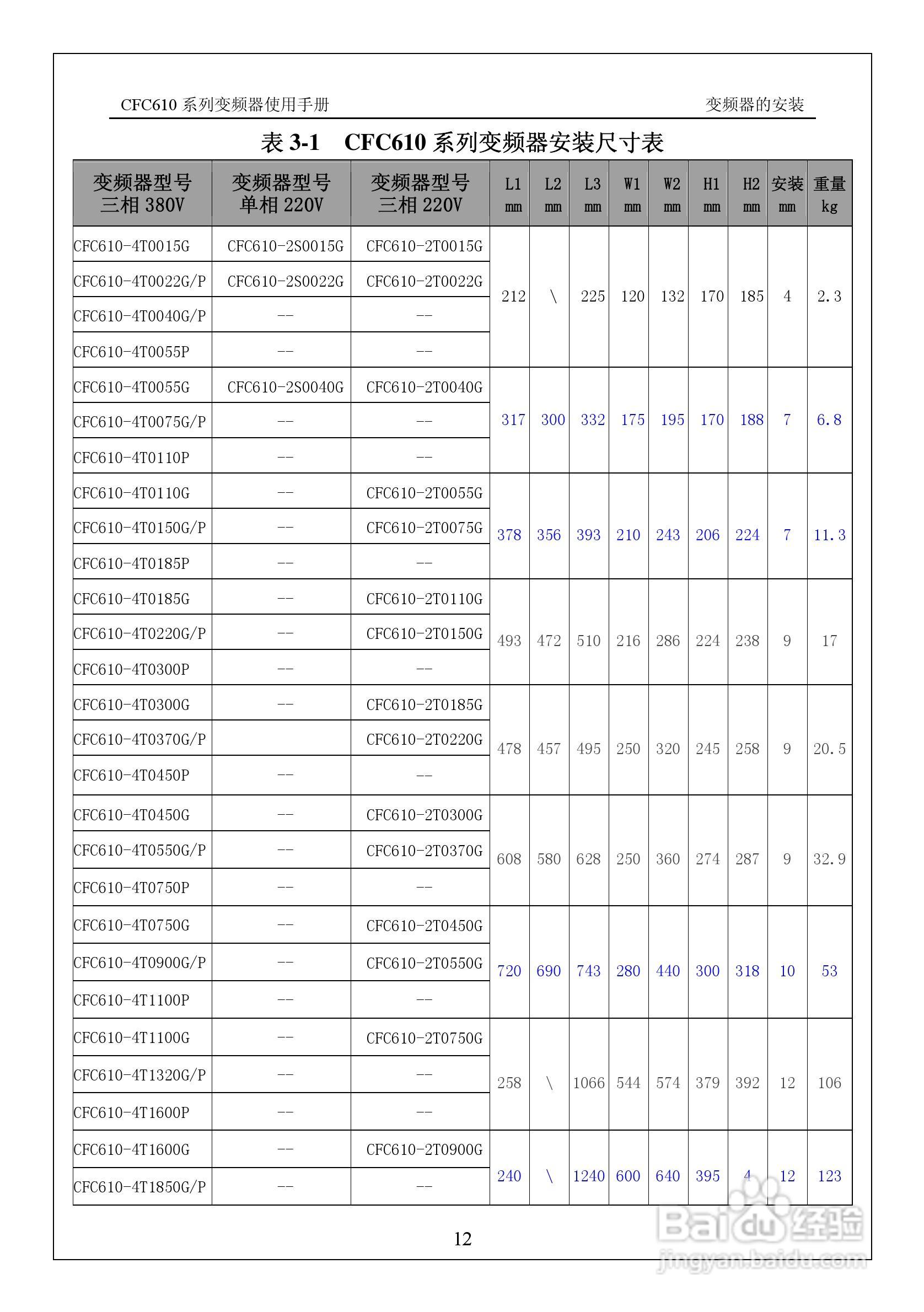
西驰CFC610-2T0900G变频器使用手册:[2]
2025-12-28 12:33:34
本篇为《西驰CFC610-2T0900G变频器使用手册》,主要介绍该产品的使用方法以及常见故障解决方案。
(共篇)
上一篇:
|
下一篇:
声明:
本网站引用、摘录或转载内容仅供网站访问者交流或参考,不代表本站立场,如存在版权或非法内容,请联系站长删除,联系邮箱:site.kefu@qq.com。
相关推荐
西驰CFC610-2T0900G变频器使用手册:[6]
阅读量:133
西驰CFC610-2T0900G变频器使用手册:[1]
阅读量:55
蓝海华腾变频器V6-H-2T2.2G说明书:[6]
阅读量:60
蓝海华腾变频器V6-H-2T2.2G说明书:[3]
阅读量:55
蓝海华腾变频器V5-H-2T2.2G说明书:[2]
阅读量:94
猜你喜欢
运动会发言稿100字
dior什么意思
瑾瑜是什么意思
水床是什么
汽车mpv是什么意思
维生素e乳
material是什么意思
什么是法兰
truth是什么意思
硅油是什么
猜你喜欢
甲功五项是什么
什么是水中毒
桂花鱼养殖技术
如何腌制黄瓜
男人的精子对女人有什么好处
三农是什么
树欲静而风不止是什么意思
什么是命
贫瘠的反义词是什么
养殖场起名