如何使用matlab软件对代数式进行通分
1、第一步,双击matlab软件图标,打开matlab软件,可以看到matlab软件的界面。

2、第二步,使用syms命令,创建六个符号变量a、b、c、d、x、y。

3、第三步,使用符号变量a、b、x、y创建代数式A,其中A=a/x+b/y。

4、第四步,使用函数表达式[n,d]=numden(A),对代数式A进行通分,其中,n是通分后的分子,d是通分后的分母。

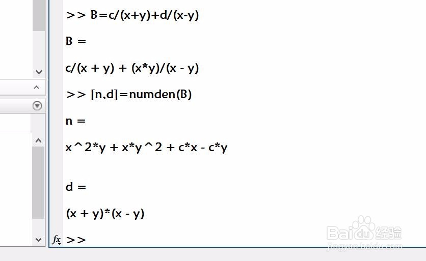
5、第五步,使用符号变量c、d、x、y创建代数式B,其中B=c/(x+y)+d/(x-y)。

6、第六步,使用函数表达式[n,d]=numden(B),对代数式B进行通分,其中,n是通分后的分子,d是通分后的分母。。

声明:本网站引用、摘录或转载内容仅供网站访问者交流或参考,不代表本站立场,如存在版权或非法内容,请联系站长删除,联系邮箱:site.kefu@qq.com。
阅读量:125
阅读量:186
阅读量:147
阅读量:188
阅读量:148