来大神啊,求幅频特性和相频特性的函数
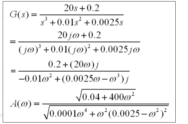
s用jω代替,ω就是角频率,j就是虚数单位。
整个式子变成一个带ω的复数,
这个复数的模值关于ω的表达式就是幅频特性A(ω),
复数角关于ω的表达式就是相频特性φ(ω)。

扩展资料
幅频特性为系统频率响应的幅度随频率变化的曲线,幅度大的地方对应通带,也就是对应频率成分通过系统有较小衰减,幅度小的地方对应阻带,也就是对应频率成分通过系统有较大衰减,根据这个特性,可以用来观测比较滤波器的情况,观察其是否符合要求也就是作为滤波器的技术指标。
如数字滤波器的系统函数为H(Z),他在Z平面单位圆上的值为滤波器频率响应 H(e(jw)(jw为指数),其中幅度平方响应表征了滤波器频率响应的特征。
声明:本网站引用、摘录或转载内容仅供网站访问者交流或参考,不代表本站立场,如存在版权或非法内容,请联系站长删除,联系邮箱:site.kefu@qq.com。
阅读量:108
阅读量:143
阅读量:106
阅读量:169
阅读量:182