多项式长除法是什么
多项式长除法是用一个同次或低次的多项式去除另一个多项式的算法,是常见算数技巧长除法的一个推广版本。它可以很容易地手算,因为它将一个相对复杂的除法问题分解成更小的一些问题。
值得注意的是,多项式除以多项式,如果采用连等式的形式化简,类似于分式的约分,即先将被除式与除式分别因式分解,然后消掉二者都有的公因式,得出最后的结果。

计算方法
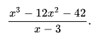
1、计算

2、把被除式、除式按某个字母作降幂排列,缺项补零,写成以下形式:

3、然后商和余数可以这样计算:
(1)、用分子的第一项除以分母的最高次项(即次数最高的项,此处为x),得到首商,写在横线之上x³÷x=x²。将分母乘以首商,乘积写在分子前两项之下,同类项对齐,x²×(x−3) =x³−3x²。
(2)、从分子的相应项中减去刚得到的乘积,消去相等项,把不相等的项结合起来,得到第一余式,写在下面。然后,将分子的下一项拿下来。
(3)、把第一余式当作新的被除式,重复前三步,得到次商与第二余式直到,余式为零或余式的次数低于除式的次数时为止,被除式=除式×商式+余式。
(4)、重复第四步,得到三商与第三余式。余式小于除式次数,运算结束。
声明:本网站引用、摘录或转载内容仅供网站访问者交流或参考,不代表本站立场,如存在版权或非法内容,请联系站长删除,联系邮箱:site.kefu@qq.com。
                                阅读量:173
阅读量:55
阅读量:59
阅读量:181
阅读量:99