指南生活
首页
美食营养
手工爱好
生活家居
返回
指南生活
首页
美食营养
游戏数码
手工爱好
生活家居
健康养生
运动户外
职场理财
情感交际
母婴教育
时尚美容
知识问答
生活知识
生活百科
搜索
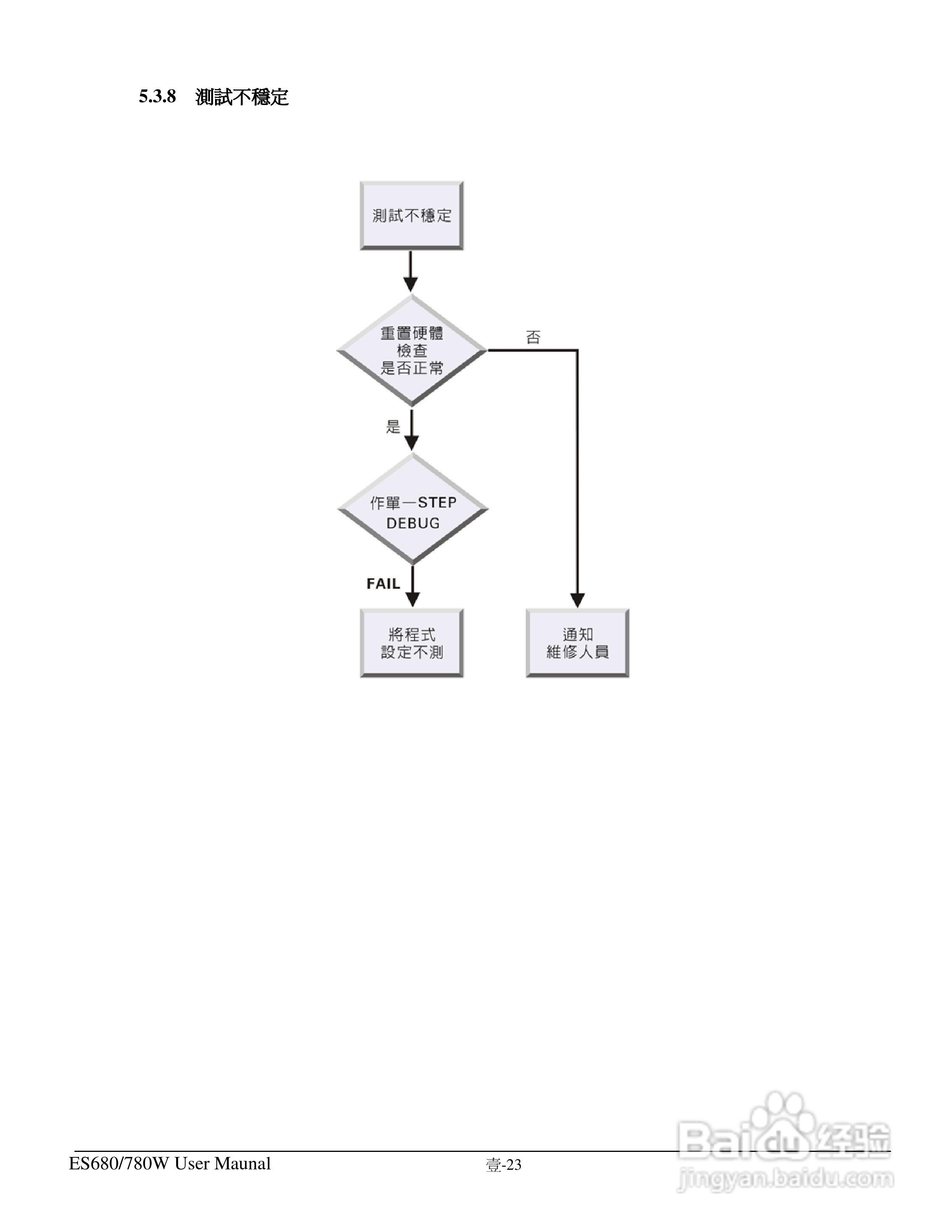
东之源 ES680W ES780W ICT在线测试仪操作手册:[4]
2026-03-27 01:59:42
本篇为《东之源 ES680W ES780W ICT在线测试仪操作手册》,主要介绍该产品的使用方法以及常见故障解决方案。
(共篇)
上一篇:
|
下一篇:
声明:
本网站引用、摘录或转载内容仅供网站访问者交流或参考,不代表本站立场,如存在版权或非法内容,请联系站长删除,联系邮箱:site.kefu@qq.com。
相关推荐
东之源 ES680W ES780W ICT在线测试仪操作手册:[16]
阅读量:187
东之源 ES680W ES780W ICT在线测试仪操作手册:[12]
阅读量:125
WIN5200E ICT在线测试仪使用手册:[4]
阅读量:188
东之源 ES680W ES780W ICT在线测试仪操作手册:[15]
阅读量:83
东之源 ES680W ES780W ICT在线测试仪操作手册:[14]
阅读量:160
猜你喜欢
湖北中医药大学怎么样
怎么绑鞋带
华南理工大学怎么样
小叶紫檀怎么盘
超速10%不到20%怎么处罚
怎么用word画图
cad外部参照怎么用
申通快递速度怎么样
手相怎么看财运
精子存活率低怎么办
猜你喜欢
常熟理工学院怎么样
ipad怎么越狱
秋季腹泻怎么治疗
学生的英语单词怎么写
奇异果怎么吃
背背佳怎么穿
肾积水怎么办
写小说怎么赚钱
毛栗子怎么剥皮
篮球怎么过人