并联电阻怎么计算
1、计算公式:1/R总=1/R1+1/R2+……+1/Rn,即总电阻的倒数等于各分电阻的倒数之和。
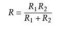
特别的,两电阻并联总值为:

2、对于n个相等的电阻并联,公式就简化为R并=R/n
并联从字面上理解便是并在一起的连接,有两个以上的电阻,他们的一端接在一起,另一端也连接在一起,两个节点是以外加的电压,形成一个又分支的电路,这就叫做并联电路。
将两个或两个以上的元件的一端连接在电路的同一点上,另一端连接在另一点上的连接方式称为并联。并联电路起到分流的作用,电阻越大分的电流越小。
3、下图为并联电路

4、并联后的电阻为R=R1*R2/(R1+R2)
声明:本网站引用、摘录或转载内容仅供网站访问者交流或参考,不代表本站立场,如存在版权或非法内容,请联系站长删除,联系邮箱:site.kefu@qq.com。
阅读量:130
阅读量:141
阅读量:136
阅读量:121
阅读量:92