指南生活
首页
美食营养
手工爱好
生活家居
返回
指南生活
首页
美食营养
游戏数码
手工爱好
生活家居
健康养生
运动户外
职场理财
情感交际
母婴教育
时尚美容
知识问答
生活知识
搜索
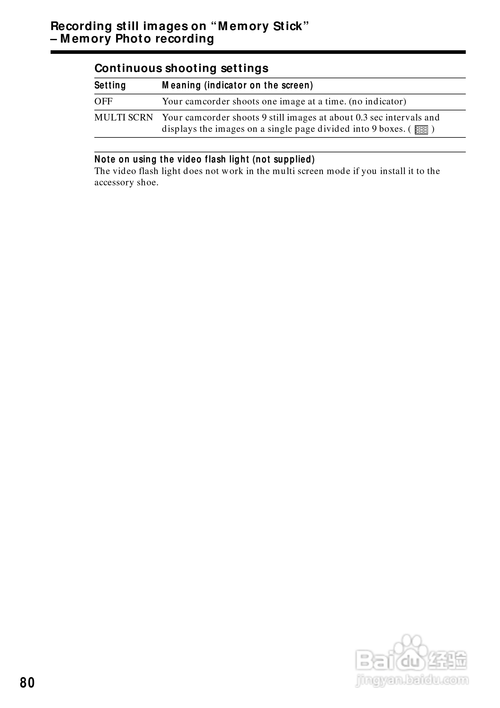
索尼DCR-TRV525数码摄像机说明书:[8]
2025-12-16 21:19:29
本篇为《索尼DCR-TRV525数码摄像机说明书》,主要介绍该产品的使用方法以及常见故障解决方案。
(共篇)
上一篇:
|
下一篇:
声明:
本网站引用、摘录或转载内容仅供网站访问者交流或参考,不代表本站立场,如存在版权或非法内容,请联系站长删除,联系邮箱:site.kefu@qq.com。
相关推荐
索尼DCR-TRV525数码摄像机说明书:[9]
阅读量:180
索尼DCR-TRV525数码摄像机说明书:[13]
阅读量:106
索尼DCR-TRV900数码摄像机说明书:[8]
阅读量:191
索尼a6000新手教程
阅读量:124
索尼a7r2视频拍摄如何设置
阅读量:147
猜你喜欢
盐酸地芬尼多片的作用与用途
天麻的作用
薤白的功效与作用
运动男孩
mystery什么意思
去眼袋用什么方法最佳
什么是419
牛磺酸的功效与作用
高一地理必修一知识点总结
柠檬的功效与作用
猜你喜欢
什么东西最养胃
三七粉的功效与作用及食用方法
台山有什么好玩的地方
桃仁的功效与作用
curtain什么意思
有氧运动视频
一道什么
紫菀的功效与作用
金曜石的功效与作用
中药桔梗的功效与作用