指南生活
首页
美食营养
手工爱好
生活家居
返回
指南生活
首页
美食营养
游戏数码
手工爱好
生活家居
健康养生
运动户外
职场理财
情感交际
母婴教育
时尚美容
知识问答
生活知识
生活百科
搜索
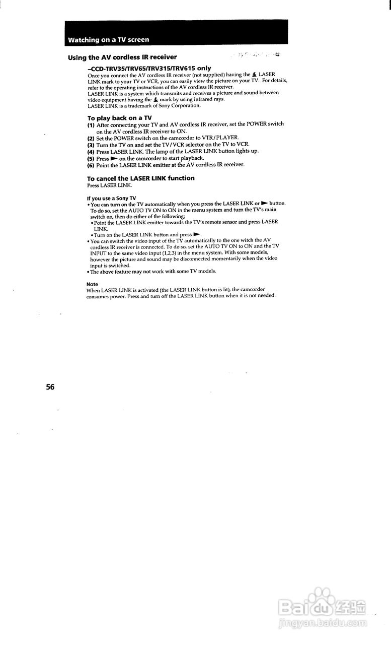
索尼CCD-TRV15模拟摄像机说明书:[6]
2026-03-23 00:44:45
本篇为《索尼CCD-TRV15模拟摄像机说明书》,主要介绍该产品的使用方法以及常见故障解决方案。
(共篇)
上一篇:
|
下一篇:
声明:
本网站引用、摘录或转载内容仅供网站访问者交流或参考,不代表本站立场,如存在版权或非法内容,请联系站长删除,联系邮箱:site.kefu@qq.com。
相关推荐
索尼CCD-TRV15模拟摄像机说明书:[9]
阅读量:181
索尼CCD-TRV15数码摄像机说明书:[5]
阅读量:90
索尼CCD-TRV15数码摄像机说明书:[7]
阅读量:33
模拟摄像机和网络监控摄像机画面嵌入网页直播
阅读量:128
索尼CCD-TRV15数码摄像机说明书:[2]
阅读量:192
猜你喜欢
医院等级怎么分
拉布拉多犬图片大全
末影人怎么驯服
熊猫资料大全
鲁肃简介
学校简介
笔记本显卡怎么换
我的世界mod大全
盆花图片大全
骨架大的人怎么减肥
猜你喜欢
单眼皮怎么变双眼皮
面料知识大全
故事大全童话故事
婴儿咳嗽怎么办
拔丝芋头怎么做
过年对联大全
赛尔号boss大全
梁静茹个人资料简介
上海海事大学怎么样
自拍杆怎么连接手机